1 前言
ERP系統(EntERPrise Resource Planning,企業資源計劃)是一個集成了制造、財務、銷售、庫存及人力資源等企業內部管理事務的管理信息系統平臺。ERP系統采購及應用的代價極其高昂,對于企業來說,采用科學的方法從眾多候選的ERP系統解決方案中選型其一,使之與本企業實際需求相適應,從而達到投資回報的最大化是非常重要的。
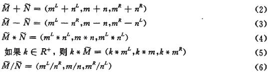
本文提出了一種基于模糊數據包絡分析(Fuzzy Data Envelopment Analysis,FDEA)的ERP系統選型與評價方法。該方法利用模糊集相關理論與方法對系統選型問題中的不確定性與模糊性進行描述和刻畫,建立了相應的系統評價指標體系,在對候選系統進行相對有效性評價的基礎上,篩選出具有各項性能指標最佳組合并適合企業管理實際需求的ERP系統。
2 模糊DEA
DEA最早由Charnes、Cooper和Rhodesr提出,以解決多個輸入輸出DMU的相對有效性測量及比較問題,目前已經在系統評價和組織評價領域得到了廣泛的應用。Sengupta于1992年提出了模糊DEA理論模型,該模型利用模糊集理論中的相關概念來表示不確定及模糊的數據,并通過傳統DEA方法來對其進行求解。
傳統DEA方法所使用的數據都是精確的,是硬(Crisp)模型。事實上,隨著系統復雜性的增加,對系統進行精確評價會變得非常困難。實際情況中,決策者通常習慣于使用一些模糊概念來評價某個事物,如質量“很好”、風險水平“高”等。因此,為了評價DMU的績效,將模糊建模方法與傳統數據包絡分析相結合是必要的。
Sengupta首先提出了一種模糊DEA模型,該模型通過在一定程度上允許對模型約束的違反來處理DEA模型中的不確定性問題。近年來,在模糊DEA領域出現了許多不同的方法,例如Kao和Liu利用模糊相對有效性對臺灣的大學圖書館進行了評價,Lertworasirikul在模糊環境下利用DEA方法對分銷渠道的建模問題進行了研究。
在模糊DEA模型中,可以有部分或全部輸入輸出是模糊的。對于部分模糊情形,可以將精確數轉換為模糊數來處理。設模糊數用記號“~”表示,考慮具有m個模糊輸入\和P個模糊輸出的n個DMU的評價及比較問題,為簡便起見,模糊輸入輸出均采用三角模糊數形式表示,一個典型的三角模糊數如圖1所示。


依據Zadeh擴展法則,可將模糊數的代數運算總結如下:
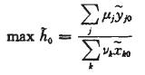
模糊DEA模型定義如下:

為求解上述模型,假設I=(0,1,0),這樣可以使得對分數形式目標函數的線性化更為容易。基于該假設,可以將分數形式的目標函數轉換為等價的線性形式如下:
對上述模糊DEA模型進行求解,需要將其先轉換為硬模型。此時需要將模糊目標函數和模糊約束分別轉換為硬目標函數和硬約束,然后再利用常規DEA的求解方法即可對模糊DEA問題進行求解。將模糊DEA模型應用于ERP系統的選型過程時,DMU的選型即對應于ERP系統的選型。
3 ERP系統的模糊DEA選型及實證研究
3.1系統選型數據來源
ERP系統能夠提高企業管理水平、提升企業運營效率,它對企業成功所發揮的作用已為企業界和學術界所共知。對大型ERP系統相對有效性的評價既有定量方法又有定性方法,模糊DEA屬一種定量評價方法,主要用于在ERP系統選型過程中對系統進行定量評價。Fisher Kiang等利用傳統DEA方法對ERP系統進行了評價、分析和比較,但他們的研究未充分考慮ERP系統選型過程中的不確定性和模糊性。
本研究所使用的數據來自某進出口公司;2005年后,隨著該公司業務的發展和客戶需求及供應商需求的變化,該公司管理層決定實施ERP系統。該企業在在初選階段通過招標公告,收到了13個國內外ERP系統供應商的竟標申請。經過初步考察,共有11個系統被定為可用系統,并通過產品評級和供應商評級模型確定了其中的6個系統作為最終評價與選型的候選系統,其中有2個系統為行業ERP系統,其余為通用(綜合)ERP系統。
3.2模糊DEA選型實證研究
對每個候選ERP系統,模糊DEA將相關的多元模糊關鍵指標轉換為單一的模糊相對有效性度量,這對于決策者衡量每個候選ERP系統的相對有效性來說是必要的。在最終評價階段,ERP系統選型過程主要依據兩方面進行,一是ERP系統對企業實際需求的滿足情況,二是系統供應商的相關情況。在這兩個方面所包含的若干因素中,我們選擇用作模糊DEA系統選型評價指標的主要有實施復雜性、預計實施成本、功能匹配度及供應商企業形象等。
通過對該公司ERP選型與實施項目小組及公司執行總裁的訪談和調查,我們獲得了最終評價階段6個候選ERP系統(6個系統的名稱分別以A、B、C、D、E和F表示)的輸入與輸出指標的相應值,這些值均為模糊數,以三角模糊數(最小值,可能值,最大值)的形式列于表1中。各個ERP系統的模糊相對有效性如表2所示。


在6個候選系統中,其中B、E為行業ERP系統,其余為通用ERP系統。A系統的品牌知名度最高,系統成熟度最好,但其系統配置及初始化極為繁瑣,且由于系統架構基本不可更改,需要企業在BPR上投入較大經歷。因此在該企業業務流程相當成熟且長期較為固定的情況下,A系統的相對有效性評價并不很高。B系統雖然是行業系統,業務流程與該企業的實際業務匹配度較高,但在系統的配置、初始化及維護方面面臨與A系統類似的投入過大的問題。D系統和F系統由于預計實施成本較低,因此相對有效性尚可,但考慮其它方面因素,它們顯然不是一個合適的系統。E系統和C系統相比較而言,具有相近的功能匹配度和品牌形象,但實施復雜性要低,尤其在預計實施成本方面具有絕對的優勢。
結果顯示,在候選ERP系統中,E系統的相對有效性最大。也就是說,在特定的實施復雜性和預計實施成本前提下,沒有其它ERP系統能夠比系統E具有更好的功能匹配度和供應商企業形象。對表1中指標數據的簡單考察無法鑒別出最有效ERP系統,模糊DEA方法將多元模糊關鍵指標轉換為單一模糊相對有效性,從而簡化了具有最優輸入輸出指標組合的最佳ERP系統的選型過程。
對表2的分析還說明了一個給定的ERP系統與最佳系統之間存在相對有效性差異的原因。例如A系統的有效性較E系統少約0.367,對其輸入輸出指標數據進行分析可知,這是由于它的實施復雜性和預計實施成本均較E系統要大。
4 結論
本文主要討論了如何運用模糊DEA方法來處理ERP系統選型過程中的不確定性和模糊性問題。該方法采用模糊集相關理論描述系統選型過程中的不確定性,根據輸入輸出指標集合對每個ERP系統的模糊相對有效性進行測量,從而實現對若干候選系統的評價、排序和擇優。相應的方法也可應用于其它企業級管理信息系統的選型過程,例如供應鏈管理(Supply Chain Management,SCM)、客戶關系管理(Customer Relationship Management,CRM)系統及協同管理系統(Cooperative Management System,CMS)等。在系統選型過程中,關鍵是要確定選型過程所需的各種指標并將它們按輸入和輸出進行正確的分類。
轉載請注明出處:拓步ERP資訊網http://www.shjqjggc.cn/
本文標題:基于模糊DEA的ERP系統選型方法
本文網址:http://www.shjqjggc.cn/html/consultation/1082044720.html
























