0 引言
我國企業信息化建設一直都是模仿和借鑒西方發達工業國家信息化建設模式的發展道路,而對于自身信息化建設的實際水平和存在問題因缺少有效的評價工具而認識膚淺。企業首席信息主管(Chief Information Office,CIO)們對信息化的實施大多僅限于數據共享和無紙化辦公能力等水平上,對于企業實施信息化所能帶來的組織結構調整、管理創新、提高經濟效益和市場競爭力等深層次量化的指標則難以把握,其結果往往導致企業信息化建設投人大而收效甚微,甚至失敗。對企業信息化的評價是一個動態的過程,具有涉及面廣、統計工作量大、實時性高的特點。傳統的信息化評價由人工來完成數據的收集、整理及計算工作,功能有限,而且受到具體評價方法和評價指標的限制,不能適應企業信息化多樣性和動態性的評價要求。
柔性企業信息化評價系(Flexible EntERPrise Informatization Evaluationsystem,FEIES)不僅具有為實現數據自動采集而與企業信息化系統集成的統計指標數據接口,而且具有自動分析和提取所需數據的數據統計算法,具有適應不同評價方法和指標體系的規則或參數解析功能,能支持基于統一評價指標體系的評價結果的比較分析,有良好的人機界面及方便擴展的系統體系結構。本文研究了FEIES的體系結構及其實現技術,并通過實例進行了分析和驗證。
1 信息化評價系統面臨的問題
對企業信息化的評價不僅要考慮宏觀的、共性的因素,還要涉及到具體企業的系統功能模塊、與信息化有關的業務類型、業務效益、人力資源等個性化的方面,即使是同一套指標,對不同企業評價的側重不相同,其計算的方法和數據收集整理對象也有差異。雖然美國、日本等最先進人信息化時代的國家,特別是西方一些國家對信息化的評價已經做了大量的理論與實踐性的探索,但至今還沒有一種有效的評價方法和工具可以評價信息化建設的所有方面,并得出令人信服的結論。由企業的個性化引起的信息化建設的差異性,使針對具體企業制定的大多數統計或評價指標難以形成統一的評價工具。表1列出了典型的企業信息化評價方法或指標體系及其適用對象,其中有的方法是在另外一些方法的基礎上發展起來的,如總體經濟影響(TotalEconomiclmpact,TEI)方法的核心是投資回報(Returnonlnvestment,ROI)分析,它的衡量指標不再以總體擁有成本(Total Costof ownership,TCO)的成本核算為中心,而在量化成本、收益和靈活性價值的基礎上,再通過風險分析對這3個方面進行修正,得出一個經過調整的ROI。

我國的國家企業信息化指標體系是國際上第一個由政府頒布的企業信息化指標體系,達到世界領先水平,它包括基本指標、效能指標和評議指標川3個部分。這3個部分相互補充,可滿足不同行業、不同層次的評價要求。此外,信息經濟法(工nformationEconomics,IE)、企業關鍵業績指標(KeyPerformamelndicators,KPI)、實物期權評價(Real Options Valuation,ROV)、投資組合管理法(PorfolioManagement,pM)、應用信息經濟(AppliedlnformationEconomics,AIE)理論等也被用于企業信息化的評價方法。針對具體評價對象和單個評價方法的信息化評價應用系統也由軟件公司開發出來,如信息化測評研究院開發的企業信息化基本狀況自測系統(Vl.1)。Euclid和ITM軟件公司針對用戶的需求,為用戶提供基于儀表盤顯示的IT系統評價工具,并將評價結果形成專門的報告,咨詢公司Gartner也為用戶開發了專門的評價工具川。但是這些評價系統都只能滿足具體評價指標的單一應用,不能滿足信息化評價針對性強、評價方法可變化的多樣性應用要求。
因此,現代企業信息化評價系統必須滿足不同行業、不同企業、不同信息化階段和不同評價方法,以及其指標體系的柔性化評價的發展要求。現代IT技術的發展為FEIES的實現提供了可能,它利用現代IT技術和數據處理技術與具體的評價方法和指標結合起來,把只有行業專家才能明白的統計、評價指標體系,以友好的界面和非專業人員通過培訓能夠操作的評價流程展現出來,真正實現企業信息化評價的可操作性和柔性化。
2 柔性企業信息化評價系統設計
FEIES作為一種多適應性的評價工具和具體的評價方法或指標,它所面對的是一般的信息技術人員或IT管理人員。通過FEIES設置評價對象和評價目的,系統按照設置匹配評價方法及其指標體系,按指標體系庫藕合解析計算方法,實現指標數據的自動采集、分析和處理,達到柔性化評價的要求。
2.1 柔性企業信息化評價系統要求及功能特點
圖1描述了在企業信息化評價中FEIES的應用邏輯。我國有專門的國家信息化測評中心承擔國家信息化的評價研究,因此,FEIES的設計必須符合國家信息化測評中心對企業信息化評價的基本思想,其功能特點及設計要求為:①靈活的功能配置規則,高效的數據采集、存取算法及其禍合機制;②流程化評價過程管理,評價操作人員不需要太多的專業知識培訓,并且操作方便,用戶界面友好;③支持模塊化的功能擴展,有與企業現有信息化系統集成的功能豐富的安全數據接口,有按照規則進行共享數據傳輸的通訊機制;④可擴展的、功能強大的系統體系結構,即可用于企業內部自評診斷,也可以用于聘請專家組通過Internet在線測評,與企業信息化建設的發展保持同步;⑤有與企業信息化急體戰略相匹配的信息化評價功能和配置規則庫;⑥有適應不同評價目標和評價目的的評價方法庫和評價指標庫,采用基于規則匹配的索引機制可以有效地解決評價系統的柔性化問題,將評價方法的通用性與評價指標的針對性結合起來滿足不同的評價要求;⑦要具有與國家信息化測評中心相一致的企業信息化評價過程管理和標桿企業庫。

2.2 柔性企業信息化評價系統體系結構
圖2給出了能夠滿足上述要求的FEIES體系結構。通過控件的擴展和組件的動態構造,實現基于企業內部局域網或者基于企業聯盟的“一站式”信息化的交互式評價系統。其中,基于ActiveX控件技術和支持組件對象模型(Componentobject Model,COM)的動態服務器主頁(ActiveservERPages,ASP)開發技術,以及基于Javabeans TM,Java服務器主頁(JavaservERPage,JSP)標簽庫或者可定制JSP標簽的JSP技術,是當前流行的基于Web應用實現動態交互的技術解決方案。FEIES體系結構的主要組成部分是FEIES引擎、配置規則庫、評價方法庫、評價指標庫、系統數據接口。
2.2.1 柔性企業信息化評價系統引擎
FEIES引擎是系統的核心,由各個獨立的、預先定義的控件組成,以實現特定的功能,如數據庫訪問、算法調用、數據格式轉換等,它是系統的調度指揮中心,在系統中處于業務邏輯層,分為指令接口單元、規則匹配單元、業務調度單元和索引驅動單元,各功能單元實現模塊化構造,方便擴展和組合重復調用。數據的存取和處理及業務邏輯的實現,對用戶來說都是在后臺進行,并引人了權限索引機制。
2.2.2 評價規則庫
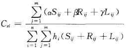
規則庫提供了根據評價對象信息化狀況進行系統參數配置的界面,它由系統規則匹配與人工調整相結合,在對評價目標、評價目的、統計指標內容等一系列功能選項進行組合后,提交給系統進行評價方法的匹配。FEIES引擎指令接口單元基于業務過程技術困,接收匹配指令,驅動業務邏輯按相關度最優原則決定該采用什么樣的評價方法,形成索引參數表。規則匹配相關度的計算公式為
2.2.3 評價方法庫
評價方法庫是一個預先定義的評價方法集合,它與評價指標庫緊密關聯,一般由信息化評價方面的專家或研究機構制定,方法組合人庫時考慮了評價應用企業的整體信息化規劃。不同的行業或實施不同信息化戰略的企業,其方法庫也不同,方法庫在正常使用之前還要經過企業實際的測試。FEIES引擎按索引參數逐項索引評價方法庫,按匹配程度確定采用單一方法評價還是組合方法評價。
2.2.4 評價指標庫
評價指標反映了需要采集的具體數據內容。不同的評價方法,評價的側重點不同,它們的差異性是通過針對性的評價指標體系及其組合來實現的,每個指標都定義了詳細的數據采集內容和計算方法,如我國的國家企業信息化基本指標體系是反映信息化基本情況的統計指標,可以形成信息化成果的標準化定量分析結論。效能指標是在企業信息化基本指標的基礎上,結合不同行業、不同對象特點,以標桿庫或標桿值為參照,以信息化實效為評價目標,形成對企業信息化實效的定量分析結論,它由適宜度和靈敏度兩大類指標組成;評議指標是對影響企業信息化實效的特殊非定量因素進行判斷的評價指標,以此形成對企業信息化評價的定性分析結論。
2.2.5 系統數據接口
系統數據接口是實現企業信息化評價系統對企業信息化應用平臺數據庫進行安全訪問的數據訪問門戶。FEIES引擎在評價方法的驅動下,調用評價指標庫中的評價指標,按照統計指標內容數據格式轉換,進行指標算法的藕合,訪問應用系統平臺數據庫執行數據采集,對特定的信息還可以利用數據挖掘技術,進行企業信息化相關知識的發現。最終,將按照要求采集的數據經過分類、歸一化等處理,形成帶有特定信息的指標數據,存人FEIES數據庫供統計分析或評價算法調用。
2.3 規則匹配與數據轉換
評價指標往往是按功能的不同進行分類配置,如系統結構、基礎設施投資、信息人力資源、系統應用等。當根據評價目標配置好環境參數后,系統采用深度鏈式算法,對規則樹中的規則頭和規則選項進行線性檢索,從規則頭指向的選項索引開始,依次對選項索引指向的節點(指標),根據規則相關度(Cr)值進行匹配操作,直到遍歷完所有的選項索引。規則匹配過程如圖3所示。

3 柔性企業信息化評價系統在港口煤炭物流信息化中的評價應用
下面以某港口企業煤炭物流信息化系統為評價對象來說明FEIES的應用。該物流系統是企業整個信息化建設中的一個子系統,承擔著北煤南運物
流信息管理的重要任務。借助FEIES對其進行評價分析,以避免投資風險,制定下一步的信息化方案,適時指導企業的整體信息化戰略。
3.1 按照規則庫配置FEIES環境參數
結合該港口企業煤炭物流信息化和企業整個信息化戰略,從規則庫列出的選項中給出符合實際的選擇,得出評價需要的統計指標索引參數表,提交給FEIES引擎。其功能類似于國家企業信息化基本指標,用于企業煤炭物流信息化系統狀況的客觀描述。
如圖4所示,按照評價規則庫的內容配置FEIES應用環境。當需要作出規則庫之外的評價規則配置時,可以由評價技術人員或者評價專家組進行適合企業信息化系統的人工調整。

3.2 港口煤炭物流信息系統評價方法及其指標數據
FEIES環境參數的配置應和FEIES接口數據統計內容與格式相符,以得出煤炭物流信息系統建設中,與評價目的相關的評估索引參數表,如結構參數及其權重、效能參數及其權重、功能參數及其權重等,由此驅動FEIES引擎匹配適當的評價方法和評價指標體系。這里采用國家企業信息化效能指標體系進行評價,來考察系統基礎質量及其靈敏程度,但不作企業標桿值的比較,只是企業系統內部自測。相應的評價指標數據內容。
系統在操作系統為Windows2OO3Server,CPU主頻為Pentium43.OG,內存為204OM的服務器上,對由企業生產管理系統、客戶關系管理系統、辦公自動化系統組成的集成系統按上述參數配置進行評價。通過FEIES引擎對數據進行格式轉換,與評價規則庫和指標庫算法藕合。上述指標內容涉及到的數據大部分可以直接從集成系統數據庫中統計獲得,另外的財務數據則由統計Excel電子表格數據進行格式轉換最終計算得到評價結果R(0.10,0.23,0,15,0.07,0.18,0.15,0.12),反映了集成系統在企業中的戰略地位,以及有較大優勢的生命力,而在體系結構和系統安全方面的建設則比較薄弱與港口信息系統實施的實際情況相符,能夠實現系統動態柔性化評價的功能。最終的評價結果既可以是各指標得分的綜合,也可以是單一指標權重的對比,有利于從不同角度反映集成信息系統的建設狀況,并可有針對性地進行改進。
4 結束語
目前,國內外對企業信息化評價系統及評價方法的研究都還處于探索階段。企業信息化的實施是一個與具體企業實際緊密結合的過程,決定了對企業信息化的評價也必然要隨著企業信息化建設和評價的對象不同,而要求評價系統具有柔性,以適應不同的評價方法和評價目的。因此,有必要加強對FEIES工具的研究,并與評價規則、評價指標的研究結合起來,使系統功能不斷完善并在具體應用實踐中不斷改進,以推動我國企業信息化評價工具和方法的更大發展。
轉載請注明出處:拓步ERP資訊網http://www.shjqjggc.cn/
本文標題:柔性企業ERP信息化評價系統的設計與應用
本文網址:http://www.shjqjggc.cn/html/consultation/1082044924.html
























