進入21 世紀以來,企業資源計劃(ERP)已經成為企業競爭戰略的核心。ERP 正逐漸成為企業利潤的增長點,成為企業提高效率,提升企業競爭力的一把利器。ERP 應用迅速發展的同時,有許多企業實施ERP 失敗,有的企業雖投入巨額費用上馬了ERP,但對ERP 的實施效果究竟如何盲目不知,有的還未實施ERP 的企業無所適從。此種種情況表明建立一套ERP 應用效益的評價指標體系具有重要的理論價值和實用意義。目前對于ERP 項目績效評價方法和體系也有不少,但各種績效評價方法或多或少有著缺陷,或評價范圍有片面性,或操作方法有局限性。
本文結合企業實施ERP 的目標、組成進行了效益分析,并借助德爾菲法建立了評價指標體系,借鑒并吸收了前人的研究成果,努力克服其不足,從各個角度較為全面地對ERP實施效益進行評價,為企業進行自身評價和持續改善提供了理論依據。
一、效益分析
(一)業務流程改進帶來的效益。ERP 在制造企業運用最大的作用是改進其作業流程,從而節省成本費用,加快速度,提高產品質量。
(二)管理水平及人員素質的提高帶來的效益。ERP 系統還可以幫助企業內部個人及團體提高生產力和決策質量,因為ERP 的引入可以縮短決策的時間、降低工作的難度、減少員工的錯誤、增加員工的成就感、提高員工的滿意度和振奮士氣、提升員工工作的品質、提高決策的質量。
(三)創新能力提高帶來的效益。ERP 不但為企業的各種創新提供技術條件的基礎,而且能影響員工的思維方式、觀念,從而引發員工根本上的觀念創新,為企業創造更多的財富。
(四)提高競爭優勢帶來的效益。ERP 可以提高企業的競爭優勢,從企業內部來說,增加每位員工的獲利率, 增加現金流量等; 從企業外部來說, 包括在現有市場增加銷售量、在新市場增加銷售量、提高市場占有率等;從企業股東和外部人士來說, 包括企業股價上漲以及外界人士對企業的好評增加。
二、ERP 效益評價指標體系的設計
(一)ERP 效益評價指標的確定過程。由于我國現階段企業所處的競爭環境,大多數企業更關心的是其自身的經濟效益,所以本文從經濟效益、社會效益來劃分和研究效益。
本文采用Delphi 法來確定ERP 實施的效益評價指標。Delphi 法的特點在于集中專家的經驗與意見,并在不斷的反饋和修改中得到比較滿意的結果。由于Delphi 法是利用專家的知識或經驗,因此主觀性較強,較難取得一致,特別是在確定指標過程中無法使用平均值,因此本文采用的方法是根據作者的調查研究先得出一個初步的指標體系,然后聘請專家在此基礎上進行修改。
第一步,選擇專家。Delphi 法中選擇專家是很關鍵的一步,所選擇的專家應是精通ERP 的專家學者和熟悉企業運作、ERP 效果的專業人士。同時為了保證評價結果的穩定性和權威性,專家人數不能太少。本課題中作者充分發動各種關系選定了14 位專家,3 位為研究ERP 的大學教師,2 位為市信息辦負責ERP 的工作人員,1 位為信息系統評估師,8 位為幾個企業的不同層次的管理人員。
第二步,調查咨詢。寄發調查表,請專家發表自己的意見。
第三步,回收結果。把互不知情的專家的意見收回并進行整理,分析獲得的資料并修改指標作為第二輪調查的調查表。
第四步,返回調查結果并再次調查咨詢。為專家介紹第一次調查咨詢的結果,同時請專家在更新信息的基礎上填寫第二輪的調查表。
第五步,匯總以上結果并進行整理得到ERP 實施效益的評價指標體系。
(二)ERP 效益評價指標體系。成本效益。成本領先戰略告訴我們在同等條件下,成本的高低成了同類企業間競爭的關鍵。ERP 的實施能為企業降低各種成本,帶來成本效益,這也是ERP 為企業帶來的最顯著變化。
1. 管理費用。ERP 的實施加快部門上下級、與客戶之間的信息交流,從而減少了各種管理費用。
2. 財務成本。很多文章中財務成本特指以借款而付出的利息、費用等,而本文財務成本指的是由于ERP 提高資金周轉率、應收賬款周轉率、現金管理而節省了資金占用上的成本,可以用應收賬款周轉天數、現金使用量等指標來衡量。
3. 物流成本。指原料、產品等在流動過程中產生的成本,包括以下幾方面:
a. 物料成本。指原材料、在制品、半成品、成品上占用的資金成本。ERP 的物料管理有極強的計劃性,通過物料需求計劃(MRP)將物料供應計劃和生產計劃緊密銜接,使采購部門和制造部門對應該做什么、做多少、什么時候做都非常明確,從而減少了盲目采購和生產。ERP 的實施可大大降低物料成本,其在ERP 實施效益中雖不是直接效益,但這是一種機會成本,它的降低為企業帶來其他的機會。
b. 庫存成本。指原材料、產品等在庫存過程中產生的成本。包括倉庫運營的人工費、管理費,產品在庫存過程中發生的質變、損失等自然損失費用。
c. 運輸成本。指企業原材料、產品的運輸費用。ERP 能夠合理安排運輸路線,最大地降低運輸費用。
d. 進貨成本。進貨次數太多則成本高,進貨次數太少的話,庫存成本又提高。ERP 能夠用科學的模型方法使庫存成本、進貨成本這對矛盾達到平衡,總成本最小。
4. 信息成本。是指企業為獲得或重置信息量而發生的各種耗費之和。
(三)管理效益。ERP 不僅是一個信息系統,更是一種新的管理理論和管理思想,這一點許多ERP 學者作過探討和論證。因此ERP 對管理者的影響作用也是非常深遠的,其在管理中所體現的效益相對成本效益而言要隱性一些,同時滯后一些,可以用以下指標衡量。
1. 信息傳遞效率。信息、數據的無紙化、電子化使得信息的傳輸時間大大縮短,各部門之間的信息傳遞大都實現了JIT(Just In Time) ,即即時傳遞,大大提高了信息傳遞效率。
2. 決策效率。ERP 的實施運用使決策者能夠更快、更全面地獲取企業內外部環境變化的信息,及時作出決策,提高企業對市場的反應速度。
3. 財務指標。成本效益中的各指標以及管理效益中的信息傳遞指標反映的主要是ERP 運用的較直接的效果,而財務效果是一種間接效果。衡量ERP 實施效益的直接指標畢竟是有限的,許多未標出的效益最終都通過財務效益體現出來。具體用凈資產收益率、總資產收益率兩指標來衡量。總資產收益率表明企業資產利用的綜合效果,指標越高,資產利用效率越高,說明企業在增加收入和節約資金方面取得良好的效果。凈資產收益率是從所有者權益角度反映企業盈利能力。
4. 客戶滿意度。指客戶對企業所提供的產品、服務等的滿意程度。本文認為無論企業的產品質量、服務如何,是否令客戶滿意,可以最終體現為客戶是否對產品、服務接受并購買以及反饋情況,因此可以從市場占有率、投訴率來綜合評價。
5. 發展能力。主要有銷售增長率、資本積累率。現代企業管理以建立競爭優勢、提高企業競爭力為核心,而正確合理地應用ERP 能夠實現這一目標。
(四)創新。企業創新是企業提高競爭力,獲得可持續發展動力的重要因素。企業的創新包括很多內容,如觀念創新、組織創新、市場創新、技術創新等。但由于這些創新較難量化,并且最終都體現為產品創新,因此這里通過產品創新來總結以上各項內容。在BSC 中,所用創新指標較多,筆者認為歸納起來不外乎兩個方面——新產品、新工藝的研制時間效率及新產品是否有效創利,所以可以用新產品開發速度、新產品貢獻率來衡量。
新產品開發速度反映了企業新產品的研究開發速度,速度越快,越易形成競爭優勢。新產品開發速度=新產品開發實際所用時間/新產品開發計劃所用時間。
新產品貢獻率反映了開發的新產品創造的利潤在所有產品中的份量。新產品貢獻率=本期新產品利潤額/本期全部產品利潤額。
(五)社會效益。由于本論文主要是從企業自身出發來評價ERP 的實施效果,因此更關注社會效益中對企業自身的長期的推動力,所以本文中主要選用了提高企業形象、提高管理者勞動者素質、優化企業組織結構、促進社會信息化等指標來衡量ERP 的社會效益。
三、評價指標的無量綱化處理
由于各個指標具有不同的量綱,而且類型也不同,所以各個指標數據之間具有不可公度性,難以進行直接比較。因此,在進行評價前必須把性質、量綱各異的指標轉化為可以進行綜合評價的一個相對數。考慮到指標體系中,正指標、逆指標往往同時并存,本文擬在曲線型無量綱處理方法基礎上借助模糊數學中隸屬函數的概念,以定量指標所適用的評分制中最大值和最小值,對兩類指標分別進行無量綱處理,將定量指標原值轉化為指標評價值。其對應的模型分別為:
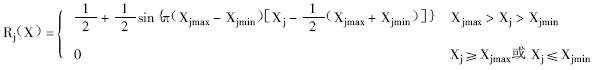
1. 正指標類模糊量化模型
所謂正指標是指相對總目標而言越大越好,其模型為:

2. 負指標模糊量化模型
所謂逆指標是指相對總目標而言越小越好,其模型為:

Rj——第j 項評價指標無量綱處理后的評價值;
Xj——第j 項評價指標原始評分值;
Xjmax——采用的評分制中的最大值;
Xjmin——采用的評分制中的最小值。
按上述公式處理,得出定量指標評價值均在0 - 1之間,這樣加權平均后的總評分就可以直接進行比較。由于各項目指標的權數也在0 - 1之間,從而最后的評價結果也應在0 - 1之間。
四、評價模型的建立
雖然ERP 項目效益都較難量化,但經濟效益和社會效益相比,前者比較顯性,較易量化,故采用層次分析法建立經濟效益評價模型;而社會效益更隱性,更模糊,基于該特點,采用了模糊分析法建立社會效益評價模型。
(一)運用AHP 法構造判斷矩陣、評價經濟效益
第一步,構造ERP 經濟效益的遞階層次結構。
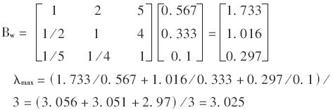
第二步,構造判斷矩陣和標度。在構造判斷矩陣時,可采用專家調查評判的方法,詢問專家對同層次每兩指標對上一層次的重要性的比較,構造出各準則層的判斷矩陣B=(bij)nn。
第三步,判斷矩陣一致性檢驗。檢驗使用公式CR=CI/RI,其中CR 為判斷矩陣的一致性比率,CI 為衡量不一致程度的一致性指標,CI=(λmax-n)/(n-1) ,RI 為隨機一致性指標均值,對1 - 9 階判斷矩陣,RI 值分別為0、0、0. 58、0. 9、1. 12、1. 24、1. 32、1. 41、1. 45。
第四步,計算單個判斷矩陣的權重向量。權重向量的計算有兩種簡易算法:和法與根法。本文采用和法,但稍微改進一點,就是在計算權重向量前先將判斷矩陣的各個列向量標準化。下面用一個例子說明計算過程。

權重向量的求解過程為:

得到權重向量后,再根據公式計算出最大特征值λmax。

此時最大特征值略微大于判斷矩陣的階數n,所以不是完全一致(完全一致時,最大特征值等于判斷矩陣的階數) ,而是滿意一致性。當然此時得到的權重向量、最大特征值與真實的權重向量、特征值之間有非常微小的誤差,但在這里,這并不會影響最后的評價和決策。
第五步,計算多個判斷矩陣的綜合權重:利用層層綜合法來完成,即在原有權重基礎上再乘上其上一層次指標對于總目標的權重,依次類推。
第六步,ERP 經濟效益的綜合評價值。設由調查計算得到的各項指標值, 經無量綱化處理后得到的值分別為E1,E2,…,En,對應的對于總目標的綜合權重分別為W1,W2,…,Wn,則效益的綜合評價值為:
P=w1E1+w2E2+……+wnEn
(二)用模糊法評價ERP 社會效益
由于模糊評價尺度是按照模糊等級設計的,符合人腦的邏輯思維規律,所以對于社會效益這類無形的定性的效益,操作起來比較容易,比較適合。其優點是可對涉及模糊因素的對象系統進行綜合評價,而且更加適用于評價因素多、結構層次多的對象系統;不足之處是FCE 過程本身并不能解決評價指標間相關造成的評價信息重復問題,隸屬函數的確定還沒有系統的方法。
模糊評價步驟:
(1)建立評價對象因素集
確定因素集要盡可能考慮社會效益的所有因素,然后在這些因素中選取相對重要的因素。U={x1,x2,x3,x4},其中x1——勞動者素質,x2——優化企業結構,x3——提高企業形象,x4——促進社會信息化。
(2)建立評語集
評語集是有關專家對評價對象可能作出的總的評價結論的等級,不能太多,多了不便于掌握標準,也不能太少,少了又不利于區分。為了全面、準確地反映實際情況,專家組由該領域專家、高層管理人員以及用戶組成,專家組成立后,確定評語集V={V1,V2,V3,V4,V5 }={“滿意”,“較滿意”,“一般”,“不太滿意”,“不滿意”}。
(3)確定指標的隸屬度,建立模糊關系矩陣R
專家組一起根據所確定的評語集對ERP 的社會效益的評價指標進行評價,評價結果用隸屬度矩陣R 表示如下:
R=rij(rij 表示在第i 個評價指標上,對它第j 等級評定的人數占全部專家組人數的百分比。)
(4)確定指標的模糊權重
本文采用上節所述層次分析法(AHP) 來確定指標權重向量A。
(5)利用模糊矩陣R 和權重向量A 復合運算可得到綜合評價結果集
B=A∞R,此處∞為模糊合成算子。常用的模糊合成算子主要有M(∧,∨),M(·,∨),M(∧,+) 及M(·,+)。這四種合成算子中,前三種用于突出主要因素,較少考慮次要因素的綜合評價。M(·,+)稱為加權平均型,對所有因素依權重大小均衡兼顧,體現權數作用最明顯,綜合程度最強,利用模糊矩陣R 的信息最充分,因此此處復合運算采用簡單加權平均型M(·,+),即可得到對該ERP 在該企業的社會效益的評價。
(6)模糊向量的單值化及模糊綜合評價結果的分析
分別給V1,V2,V3,V4,V5賦以分值90,80,70,60,50,采用加權平均原則對向量B 進行綜合,即可得到所評企業ERP的社會效益評價值。
結束語:本論文在撰寫過程中,由于時間和經驗有限,只是從實施模型、評價體系和方法等方面作了初步的研究和探討,尚有許多問題的研究還不夠深入或未涉及,有待于在今后和工作中作更深入的研究。ERP 項目效益績效評價研究在國內還屬于是一個比較新穎的課題,隨著國內企業信息化建設的不斷發展,該項研究會具有更大的價值,考慮到ERP 項目對一個企業的影響是長期和動態的,未來的ERP 項目績效評價體系應該更為完善,更為全面,更為科學。由于ERP 項目的實施是一個動態的過程,因此將來ERP 的實施效益評價也應該是動態的,這樣才能更真實地反映ERP 的效益。
轉載請注明出處:拓步ERP資訊網http://www.shjqjggc.cn/
本文標題:ERP系統實施效益評價指標體系研究
本文網址:http://www.shjqjggc.cn/html/consultation/1082045468.html
























