企業資源計劃(ERP,EntERPrise Resource Planning)的實施已經成為各大企業、組織、部門提高自身素質,獲取更大效益,實現信息化推動工業化戰略目標的一項重要舉施。ERP系統為企業提供決策、計劃、控制與經營業績評估等全方位、系統化的管理平臺,它體現了當今世界上最先進的企業管理理論,并提供了企業信息化集成的最佳方案。利用ERP系統提升企業的管理水平,改進管理方式和提高管理效益已經認為公識。據《中國信息化趨勢研究報告》顯示,2006年我國在信息化改造提升方面的投入達到3227.1億元,2007年有73.7%的企業在信息化系統運維和建設都有投入,近800萬家企業僅在企業信息化系統方面投入500多億(數據來源:IT168&ITPUB&IXPUB 2007.11)。但是,ERP系統實施效果并不樂觀,企業在信息化過程中舉步艱難。這不僅是由于ERP系統軟件功能繁多、結構復雜、影響面廣和價格非常昂貴,更重要的原因是企業信息化工程的每一步對企業而言都是革新和嘗試。信息技術咨詢業務基本是由ERP軟件供應商完成,ERP系統實施的成敗起步取決于ERP軟件供應商。所以對ERP軟件及其供應商的選擇就顯得尤為重要,選擇合適的ERP軟件供應商是企業信息化工程成功的關鍵,另外,迄今為止中國市場上已經涌現出了許許多多的ERP軟件和供應商。國外知名的供應商及其產品有SAP的R/3,JDE的Oneworld等;國內的供應商有北京利瑪、北京開思、上海啟明、八大財務軟件公司等。面對如此巨大ERP軟件市場和競爭的格局。研究ERP軟件供應商評價是學術界和企業界關注的重大課題,企業信息化的成敗將涉及到我國國民經濟的和諧可持續發展。
1 ERP軟件供應商評價指標體系的構建
1.1構建指標的原則
評價ERP軟件供應商是一件十分復雜的工作,如果沒有形成一個科學的、全面的標準體系,就無法做出全面、具體、客觀的評價。ERP軟件供應商的評價與一般的評價決策問題一樣,需要遵循一些基本原則。
(1)系統全面性原則 選擇ERP軟件供應商將涉及較多的因素。因此,在確定其評價指標體系時應該全面反映ERP軟件技術和成本,還要反映供應商的技術服務能力和水平。選擇的主要因素既不能遺漏也不能重復,以保證其選擇結果具有較好的合理性和客觀性。
(2)簡明科學性原則 評價指標體系的設置應有一定的科學性,如果指標體系過粗,則不能充分反映潛在因素,而指標體系過細,則又會使評價者的注意力分散到細小的問題上,且羅列過細的指標會增加ERP軟件供應商選擇的工作量。
(3)穩定可比性原則 評價指標體系的設置應該考慮到容易與其他指標體系相比較,如技術成熟度指標,一方面可以利用現有數據,另一方面也可以使指標體系更具有公正性和說服力。
(4)靈活可操作性原則 評價指標應當具有足夠的靈活性,以使企業能夠根據企業信息化程度、目標和實施程度等特點進行靈活調整。
1.2評價指標體系構建
我國在2003年正式公布了《ERP軟件測評指標》,該指標主要是測評軟件的質量、功能和性能,也是評價ERP軟件供應商的一個重要方面。因此,在構建評價指標時,以《ERP軟件測評指標》為基礎進行篩選,并對國內外ERP軟件供應商的資料進行分析,結合其用戶在使用中的經驗和體會,初定出評價指標集。然后開展調查收集資料,再根據層次分析法(AHP)理論,確定指標權重,構成ERP軟件供應商評價的指標體系,如圖1所示。

圖1 ERP軟件供應商評價指標體系示意圖
(1)技術成熟度反映ERP軟件的質量,ERP系統軟件的技術成熟度指標的量化、分級和取值方法可以參照《ERP軟件測評指標》確定。該指標由可操作性與容錯能力、系統安全可靠性、軟件運行穩定性和資料的完備性指標組成。
(2)軟件費用反映ERP系統實施過程中與軟件供應商發生的主要費用。該指標由軟件費用、實施過程中的培訓與咨詢費用和用戶需要二次開發與系統維護費用組成。
(3)用戶服務水平反映ERP軟件供應商服務能力,是選擇供應商的重要因素之一。該指標由ERP系統軟件售前、中和后服務水平的綜合測評廳組成。
1)售前服務水平指標由供應商提供ERP系統軟件介紹、信息技術咨詢、成功案例、失敗原因和系統試用條件的服務能力組成。
2)實施過程服務水平指標由供應商提供實施過程現場指導,業務重組指導、崗位設置能力、崗位培訓能力和二次開發能力組成。
3)售后服務水平指標由維護響應時間、維護收費和定期主動尋訪次數組成。
(4)供應商屬性指標由軟件供應商的誠信度、軟件開發能力、穩定性和經濟實力指標組成。
1)誠信度反映了供應商在行業內的聲望。該指標由軟件供應商在以往信息化項目過程中對客戶的承諾實現和客戶評價組成。
2)軟件開發能力反映供應商的技術能力,是解決ERP系統實施過程中各種應急能力的綜合描述。
3)穩定性是一個綜合指標,反映誠信、經濟、管理和技術等能力水平的相對變化波動情況。
4)經濟實力反映供應商的承擔風險的能力,由供應商的資產、產值、利稅和人力資源等數據描述。2 基于模糊層次分析法的ERP軟件供應商評價方法
2.1 模糊層次分析理論
層次分析法(AHP,Analytic Hierarchical Process)是由美國學者T.L.Satty提出的,在經濟決策,城市規劃、環保監測等領域得到廣泛應用。模糊層次分析法是借助AHP算法,建立多級模糊評判模型實現對多個ERP軟件供應商的多指標評價,為企業正確選擇ERP軟件供應商提供科學決策依據。
模糊層次分析法是一種有效地處理那些非結構化問題或難以完全用定量方法來分析復雜問題的手段,它為工程實際應用中的多規則決策問題提供了有力的數學支持。其主要思想是將一個復雜的多規則評價問題分解為具有遞階結構的評價指標和評價對象,對同一層次上的元素,通過成對的重要程度比較,組成模糊比較矩陣。
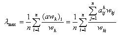
設:模糊比較矩陣為A=(aij)max ,且滿足 =1/aij,aii=1。
在特殊情況下,模糊比較矩陣A的元素具有傳遞性,滿足一致性要求(
)。相應于該模糊矩陣主特征值λmax的主特征矢量
的大小,即表示了各評價對象的優先級順序,是一種定性和定量相結合的方法。
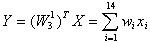
模糊AHP應有于ERP軟件供應商的評價中,假設:已知評價指標集X=(x1,x2,….xn);評價集Y=(y1,y2,….yn);權重集W=(w1,w2,…wn)。則三者存在關系為:
Y=WT X。
其中,(x1,x2,….xn)是n個評價因素如技術成熟度、軟件費、服務水平、供應商屬性等信息;(y1,y2,….yn)是m個軟件供應商的評價,Wi為指標集X中因素Xi所對應的權,滿足:
![]()
2.2 ERP軟件供應商評價方法
評價是基于一定標準進行的一系列理解、測度、評判的活動,是一種有意識地判斷在特定條件下對象的價值或貢獻的過程。因此,供應商的評價綜合了決策者的主觀評測和建立模糊的數學模型來進行定量的數學解析,具體的評價過程如下。
(1)確定指標集 根據AHP的基本理論和層次指標體系,在考核ERP軟件供應商時,將n個因素按屬性分成s組,形成條理化目標層、子目標層和因素層。由此可知,評價指標集X=(C1,C2,….Cn)分成了s個子因素集(B1,B2,….Bs),其中Bi{Ci1,Ci2,…Cin},并滿足AHP條件。
(2)評價指標賦值 由于評價指標體系中各指標量綱不統一或非量化指標,不具有可對比性。因此指標的賦值盡可能建立統一的衡量標度,或進行標準化預處理。
(3)權重矩陣的建立 在建立指標體系的遞階層次結構后,確定了相鄰兩層元素之間的隸屬關系。依據層次分析法,需對上層元素所支配的下層元素按其重要性賦予相應的權重,建立模糊比較矩陣(A)。
(1)
(4) 權重矢量的計算 通過確定模糊比較矩陣A中各元素之間的相對重要性,可計算單層元素相對于上層關聯元素的絕對權重。求解
式得:
(2)

(5)一致性檢驗 模糊比較矩陣一致性是指要求矩陣元素滿足aik*akj=aij,而評判矩陣的各元素的賦值是由決策者根據各元素相互重要性設定的,但有時會出現“甲比乙重要,乙比丙重要,但丙又比甲重要”違背邏輯一致性的可能,一致性C的計算方法如下式。
(3)
(6)各層元素對目標層權重的合成 通過上面計算得到僅是一組元素對其上層中某一元素的權重向量,我們最終是要得到各元素對總目標的相對權重,特別是最低層因素指標對總目標的合成權重。合成權重的計算自上而下,將單準則下的權重進行合成,并逐層進行一致性檢驗。通過指標值與權重組合諸最終獲得頂層指標值,即目標評價結果。
假定已經推算出第k-1層上
個元素相對于總目標的權重向量
,第k層上的
個元素對k-1層上第j個元素權重向量為:
(4)
其中不受j支配的元素的權重為零。令:
(5)
這是一個
的矩陣,表示k層上元素對k-1層元素的分配權重,那么第k層上元素對總目標的合成權重向量為:
。
所以,綜合各層的權重矩陣,可以得到n層遞階結構的指標因素層相對于總目標層的合成權重矩陣:
(6)3 應用算例
3.1 數據采集
假設現有A、B、C三個ERP軟件供應商,利用圖1所示的評價指標體系,各指標通過無量綱化處理獲得因素集
的一組樣本數據如表1所示。則利用因素集
、權重集
和評價集
三者之間的關系:
(7)
即可得出各供應商的考評成績。
表3 因素指標值

3.2 權重計算
以圖1所示評價指標體系為例,由專家或利用圖形界面依據公式(1)兩兩比較給矩陣賦值,建立目標層A與子目標層B的權重比較矩陣如表2所示,同理給出指標因素層C相對于子目標層B的權重比較矩陣。根據公式(2)(3)(4)(5)計算各參數。然后對以上各矩陣的一致性指標均CR<0.1,滿足一致性要求。由公式(4)(5)和非相關因素權重為零的原則,可得矩陣:
![]()
同理,確定因素層C相對于子目標層B的比較矩陣,求出相應的權重W32。
表2 子目標層B相對于總目標層A的比較矩陣


根據公式(6)可得出因素層C相對于總目標層的權重:
![]()
=(0.099,0.090,0.072,0.099,0.165,0.105,0.045,0.153,0.057,0.099,0.033,0.026,0.020,0.019)
則根據公式(7)得出三個ERP軟件供應商的考評結果如表3所示。
表3 考評結果

顯然軟件供應商A為最優,供應商B為最差,因此建議選擇C供應商。
參考文獻
[1] T L Satty. Axiomatic Foundation of the Analytic Hierarchy Process. Management Science, 1986, 32(7): 841~855.
[2] 薛華成主編. 管理信息系統(第三版)[M]. 北京:清華大學出版社, 2003 4-5
[3] 仲維清,侯強. 供應商評價指標體系與評價模型研究[J]. 數量經濟技術經濟研究, 2003(3)
[4] 周成波,劉秋生,陳書玉,基于層次分析法的ERP軟件供應商選擇[J],中國管理信息化2007(2):5-7
[5] 王蓮芬,許樹柏. 層次分析法引論[M]. 北京:中國人民大學出版社,1990.
轉載請注明出處:拓步ERP資訊網http://www.shjqjggc.cn/
本文標題:基于模糊層次分析法的ERP軟件供應商評價
本文網址:http://www.shjqjggc.cn/html/consultation/1082064560.html























