隨著現代科學技術的發展,各種技術在企業設備中的不斷應用,大大提高了生產效率和自動化水平;同時使得企業的設備變得越來越復雜、越來越精密,大幅度地增加了設備維修的成本和難度。另一方面,由于全球化使得企業之間的競爭加劇,迫使企業專注于本行業的核心競爭力,而將諸如運輸、設備維護、維修等非核心業務交給專業的企業處理,這一切都為MRO服務提供商的出現提供了必要的平臺。MRO為設備的維護(Maintenance)、維修(Repair)、大修(Overhaul)或運營(Opertions)的簡稱,MRO服務提供商則是專門為企業提供設備維護、維修以及大修運營的專業性服務的企業,它主要從設備提供商處得到設備的零部件及維修技術,并形成自身的備件庫及專業維修人員隊伍,提供給使用設備的客戶定期或不定期的維護、維修與大修運營等服務,形成完整的MRO服務供應鏈。
早期研究MRO研究主要集中在航空領域,現逐步向各行業擴展。Luke等研究了航空領域以及軍事采購領域的MRO的經濟分析;Ho等研究了航空領域的MRO服務提供商的六西格瑪質量分析,找出影響服務質量的關鍵因素并加以改進。Ashutosh等研究了在物流領域,提供第三方物流服務的MRO服務提供商,如何找到運輸車輛最大的利用率問題,并提供了較低時間復雜度的交換算法解決了該問題。Mercelis研究了MRO材料管理的算法,分別對月平均需求及其偏移,重定單時機和最大庫存以及訂單量提出算法,以期能得到自動的解。劉化深等運用企業結構體系理論,建立了大型設備MRO服務鏈信息化框架模型。敬春菊等從MRO可持續采購的視角下,研究了產品壽命周期滿意度分析法改進供應商的選擇標準。劉曉華等對中小機械制造企業MRO采購模式進行了研究。
綜述以上可知,MRO服務提供模式將會使接受服務的企業帶來如下的優勢:①降低了企業的備品及零配件的庫存成本;②降低了由備件及零配件的缺少而導致的缺貨成本;③可使企業集中精力致力于其核心業務,增強企業的核心競爭力。同時,MRO服務提供商通過提供專業的MRO服務也能得到如下的優勢:①通過快速滿足客戶需求形成穩定的客戶群,形成自己的核心競爭力;②可以協調不同客戶的需求,以降低備品的成本及零部件的庫存;③通過和設備制造商的合作形成自己的專業維修人員隊伍,能形成更加專業的MRO服務?梢钥隙,MRO服務提供模式將會在各種行業中得到很好的推廣和應用。
本文主要從MRO服務提供商的視角,研究客戶設備預維修的優化調度問題。
1 MRO服務模式的設備預維修調度問題
關于設備的預維修調度問題,Worrall等利用仿真模型對一個石化廠設備的維修調度做了研究,通過對靜態優先度規則和動態優先度規則的比較,評價了動態優先度規則的執行結果。Sriram等提出了一個以維修費用及飛機再分配費用最小為目標的維修計劃模型,算例表明所提出的模型適合用于解決中等規模航空公司的維修計劃優化問題。厲紅等對半導體制造設備的維修調度問題進行了研究,解決了在有限的維修人員條件下,制訂優化的維修調度方案問題。馬慧民等采用智能算法解決半導體制造設備的預維修問題。盛天文等解決了壽命型設備在基于可靠度的預防維修下的經濟維修策略問題,提出了一種基于可靠度和經濟性求解維修周期和維修時間策略的方法。
MRO服務提供商擔負不同客戶的設備維護及維修工作,為了更好、更快地提供維護維修服務,同時也為了節約自身的成本,迫使MRO服務提供商采用對客戶的設備預維修的方法來提供可靠地經濟地服務。但一方面由于客戶的設備眾多,不同設備的重要程度不同,停工的損失也不同;另一方面,維修人員對設備的維修能力存在差別,其維修時間和維修成本可能也不同,同一維修人員對不同設備的維修熟練程度也不同;此外,設備的與維修計劃時間的確定也是個難題。因此,根據設備的運行特征提前確定設備預防性維修的計劃,合理調度現有維修人員以及材料,制定一個優化的預維修調度方案是MRO服務提供商迫切希望解決的問題,具有重要的現實意義,同時也是個典型的NP-Hard問題。
2 MRO服務模式的設備預維修調度模型
2.1 預維修計劃時間的優化決策模型
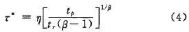
為了解決預維修計劃的時間問題,本文假設:①客戶的生產設備的故障遵從Weibull分布;②客戶的設備進行的是最小化維修,即僅維修或更換故障零部件;谝陨2條假設,根據分布特征,設β(β>1)為設備的形狀參數,η為尺度參數,設備故障后維修時間為tr,預維修平均時間為tp,兩次預維修的工作時間間隔為τ,N(r)記為一個預防性維修期內的設備故障的次數。則N(τ)的期望為

式中,z(t)=βtβ-1/ηβ為設備的故障函數,故可推導出

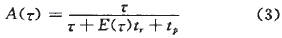
由式(2)得出預維修的周期為τ+E(τ)tr+tp,設備的利用率可以表示為

對A(τ)求導,即dA(τ)/dτ=0,可求出優化的預維修的事件間隔為

即在設備工作τ*時間后進行預維修,將使得設備的利用率達到最大。例如,一臺設備各參數為η=100,β=3,tr=16天,tp=4天,可以計算出最優維修應該在設備連續工作50天后進行。
通過確定設備故障分布,找出其最佳預維修期使得客戶設備利用率最大化,也即是使客戶的設備創造的產值最大,能最大限度滿足客戶的核心競爭力;同時,也能給MRO服務提供商找到預維修計劃的時間,從而為合理的調度資源創造條件。
2.2 MRO服務提供商預維修調度模型
MRO服務提供商的預維修調度問題描述如下:
(1)設MRO服務提供商有客戶s個,每個客戶有mi(i=1,2,…,s)組不同的設備組,則服務提供商需維修的不完全相同設備組共有M=m1+m2,…,+ms組,每組設備有若干臺相關設備,不同設備組的單位時間預維修損失成本不同。
(2)設MRO服務提供商有N組設備維修人員,每組維修人員的維修能力不同,同一組維修人員對不同類型組設備的預維修時間也不同。
(3)設備的預維修計劃時間由式(4)確定,假設所需參數均能確定,且所有設備以制定計劃的時間算作開始時間。
(4)一旦確定由哪一組維修人員預維修哪臺設備,中間將不再改變維修人員,直到設備預維修完成。
(5)一臺設備由一組設備維修人員負責預維修,不存在多組維修人員預維修一臺設備的情況。
本文針對此問題建立以預維修成本最小為目標的數學模型,其模型如下:

式中:i表示設備編號,i=1,2,…,M;J表示維修人員k維修的設備編號,j=1,2,…,Jk;k表示所有維修人員組編號,k=1,2,…,N;tik表示維修人員組k維修設備i所需時間;Xijk=1表示設備i被安排給維修人員k的第j個維修任務,否則為0;ri表示設備i的預維修開始時間;τ*i表示設備i按式(4)計算出來的最優預維修開始時間;Ci表示設備i的預維修完工時間;Cjk表示第k組維修人員維修第j設備的完工時間;Li表示設備i單位時間停工的費用損失。
式(5)表示使所有設備預維修的停工損失最。患s束式(6)表示設備i的預維修完工時間;約束式(7)表示所有維修人員可以從一開始的所有時間內接受安排;約束公式(8)表示所有設備強制預維修;約束式(9)表示設備i的預維修時間應不早于最優預維修時間;約束式(10)表示設備i由維修人員組k第j個維修,其決策變量為0,1變量。
3 求解MRO服務模式的設備預維修調度問題的方法
因MRO服務提供商的預維修調度問題是個典型的NP-Hard問題,所以,本文采用混合的量子粒子群算法對該問題進行求解,同時采用啟發式算法中的先來先服務(FCFS)方法對問題求解作為基準,用以比較解的優劣。
3.1 粒子群算法
Kenney等提出了一種新型的優化算法一粒子群優化算法(PSO)。PSO算法的思想來源于鳥類尋找食物的行為,它是一種迭代式的智群算法。
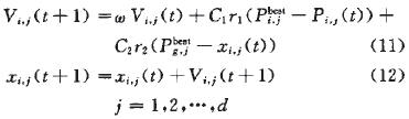
PSO算法首先初始化一群隨機粒子i,其中,i=1,2,…,m,然后粒子就追隨當前最優粒子在解空間搜索,通過迭代找到最優解。假設d維搜索空間中的第i個粒子的位置和速度分別為:

在每次迭代中,粒子通過跟蹤2個最優解來更新自己,第1個就是粒子本身找到的最優解,即個體最優解pbest,其在空間中的位置用Pi={Pi1,Pi2,…,Pid};另一個是整個種群目前能找到的最優解,即全局最優解g best。第i粒子的k次迭代可以按式(11)和式(12)更新自己的速度和位置。

式中:ω為慣性權因子;C1,C2表示群體的學習因子。r1、r2取(0,1)之間的隨機數。
作為群智能算法中的一種主要算法,粒子群優化算法有如下特點:①它不是單點進行尋優;②主要用來解決連續的問題,但是不排除非連續的問題;③粒子群算法是一種即多樣又集中的方法。盡管粒子群算法作為群智能算法有很多優點,但是,它還是有局限性。最主要的局限性就是易陷入局部最優解。為此,學者們引入各種方法進行調節,其中就有將量子算法融入到粒子群算法中形成的量子粒子群算法。
3.2 量子粒子群算法
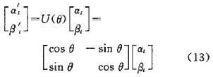
量子粒子群算法是通過更新量子比特,得到更多的新的狀態,通過找到這些狀態對應的適應值從而解出問題的最優解。在此算法中,狀態用量子比特來表示。一個量子比特不僅可以表示為0或1兩種狀態,它們之間的任意一個狀態也能用量子比特表示。一般地,m個量子比特能夠同時表示2m個狀態。因此,融入量子計算思想后,算法的搜索問題的能力將會得到很大地提升。量子比特的編碼采用二進制來表示,初始化種群時,將所有粒子的量子比特初始化為1/2-1,在以后的迭代中,則隨機產生一個(0,1)之間的數,如果它大于比特位上的數,就把對應的二進制解的比特取值1,否則取0。然后用量子門來調整量子比特。具體操作為

從式(13)可以得出,要更新當前狀態必須更新式中的所謂量子角,則量子粒子群算法的更新方程為:

與基本粒子群算法比較,速度更新換成了量子角的更新,然后再用新的量子角計算出新的量子比特,再根據這些量子比特找到對應的新的狀態,如此迭代下去直到滿足算法的終止條件。
3.3 量子粒子群算法的具體流程
求解基于MRO服務提供商的預維修調度問題的量子粒子群算法步驟概括如下:
(1)首先對種群中粒子群的參數進行初始化,根據初始角度,得到粒子群量子比特對應的概率矩陣Qt,隨機產生一個(0,1)之間的隨機數,然后進行判斷,若隨機數大于概率矩陣Qt,則對應的量子比特位取1,否則取0,這樣得到基于0,1編碼的矩陣Pt,根據Pt排序得到基于預維修調度順序的編碼矩陣;
(2)計算初始調度排序下的目標值,作為各粒子的p best,和全局最優g best;
(3)按式(14)、(15)進行迭代求解,更新粒子的p best以及求每次迭代的適應度函數,選擇最好的解作為粒子的全局最優解;
(4)當滿足終止條件,輸出種群的最好位置,根據Pt得到基于預維修調度順序的編碼矩陣,并計算出此調度順序下的目標值。
4 仿真實驗
對于以上問題,本文采用實例數據進行了仿真實驗。實例數據中MRO服務提供商共有9組(M1-M9)共20臺需預維修,各設備的所屬設備組及最優預維修計劃開始時間確定參數如表1所示;MRO服務提供商共有8組維修人員(P1~P8)負責預維修,每組設備由相應的維修人員預維修時間如表2所示,其中,空白表示相應的維修人員不能維修相關設備;每組設備預維修時的單位損失成本如表3所示。
表1 各設備所屬設備組和最優預維修開始時間確定參數

表1中:β為形狀參數;η表示設備尺度函數;tr表示故障后維修時間;tp為平均預維修時間。
表2 各設備由維修人員組預維修的時間(單位:h)

表3 各設備單位時間的損失成本(單位:元/h)

以上數據經過本文所示的量子粒子群算法進行計算以及比較先來先服務(FCFS)的啟發式算法計算得出的調度結果如表4所示。
表4 先來先服務與量子粒子群調度結果比較

實驗結果表明,采用量子粒子群算法和先來先服務方法在調度結果上存在著差異,而且由此計算出的設備預維修成本為:先來先服務方法計算結果為2789元,而采用QPSO算法計算結果為2328元,后者明顯優于前者,且比前者提高了16.53%。因此,在基于MRO服務提供商的設備預維修調度中,采用智能算法將會比啟發式算法更加優越,能明顯提高設備的預維修的效率。
5 結語
本文對基于MRO服務提供商的設備預維修調度問題作了研究,在闡明了MRO服務提供模式的基礎上,提出了基于設備故障統計分布的設備預維修人員的調度方案模型,通過量子粒子群算法對模型進行求解,比對先來先服務方法,得出了模型的合理性和算法的有效性的結論。
MRO服務提供模式是一種新型的供應鏈關系,基于它的研究還處于初始階段,對它的進一步研究可以拓展到各種生產領域,將會促進MRO服務提供模式的推廣和應用。
核心關注:拓步ERP系統平臺是覆蓋了眾多的業務領域、行業應用,蘊涵了豐富的ERP管理思想,集成了ERP軟件業務管理理念,功能涉及供應鏈、成本、制造、CRM、HR等眾多業務領域的管理,全面涵蓋了企業關注ERP管理系統的核心領域,是眾多中小企業信息化建設首選的ERP管理軟件信賴品牌。
轉載請注明出處:拓步ERP資訊網http://www.shjqjggc.cn/
本文標題:基于MRO服務提供商的設備預維修調度
























