企業信息化過程可以更新企業管理理念,提高企業管理水平。ERP(EntERPrise Resource Planning)面向企業供應鏈,可對供應鏈上的所有環節進行有效管理,ERP系統在MRPⅡ的基礎上擴展了管理范圍,給出了新的結構,把客戶需求和企業部的制造活動以及供應商的制造資源整合在一起,將企業的運營流程看作是一個緊密連接的供應鏈。企業建立ERP系統必須對現有的生產流程進行重新認識和改造,需要依靠既懂計算機技術又懂管理的復合人才,這在很大程度上要依靠軟件供應商的技術支持,因此,選擇一個適合企業特點的ERP軟件供應商非常關鍵。針對這個問題,本文利用支持向量機對ERP供應商進行綜合評判。分析出軟件供應商的優劣,為企業的決策提供依據。
一、ERP軟件供應商的評價指標體系
評價企業要包括多方面的內容,本文結合軟件企業的特殊性,構建了一種共有5個一級評價指標,下屬16個二級評價指標的完整ERP軟件選擇評價指標體系。
1.功能滿足程度(U)下設三個二級評價指標:
生產類型滿足程度(U1):指軟件對離散型、連續型、階段連續型或混合型等生產經營管理特點滿足的程度;
批量品種滿足程度(U2):指軟件對流水、大批量、多品種小批量、定制品生產等不同要求的滿足程度;
公司發展滿足程度(U3):指軟件是否具有供應鏈管理功能,可否將本企業的上下游企業納入管理范疇,是否能適應企業將來發展到多廠制集團運行管理模式。
2.軟件技術水平(T)下設三個二級評價指標:
軟件內部集成水平(T1):指ERP軟件內部各部分的集成水平。
二次開發工具水平(T2):指為使軟件適應某一特定企業的需求,軟件所提供的或建議使用的用于二次開發的工具水平,主要從開發效率高低、掌握難易程度以及功能強弱和價格水平高低等4個方面去評估。
體系結構的先進程度(T3):指軟件采用體系結構的先進程度。主要考慮:(1)在客戶機上訪問本客戶機的上層服務器和其它服務器上數據庫的條件、方式和效率;(2)客戶機和服務器工作任務和工作方式的正確區分;(3)網上數據的傳輸量及個別結點失效對整個系統的影響。
3.實施服務質量(S)下設四個二級評價指標:
簽約客戶實施成功率(S1):需要從相近行業、相近生產類型和相近管理體制等三個方面去調查購買該軟件的企業實施ERP的結果。
實施工作水平(S2):需要從以下3個方面對其進行評價;(1)平均實施周期長短;(2)實施過程規范化、制度化的程度;(3)軟件漢化文檔齊全程度。
二次開發難易程度(S3):需要從二次開發的工作量大小、二次開發的難易等方面進行評價。
實施顧問水平(S4):主要從顧問的ERP軟件實施經歷、顧問的數量、顧問的經驗等三方面進行評價。
4.供應商服務態度(A)下設三個二級評價指標:
簽約企業對供應商評價(A1):到簽約企業調查軟件供應商的服務態度和服務水平。
對本土化滿足程度(A2):主要是考慮供應商能不能良好的滿足國內企業特殊化的需求。
軟件的后續完善程度(A3):有前瞻性的軟件公司會不斷進行投資,完善軟件的功能,提高技術水平,即不斷對軟件進行版本升級,并為老用戶提供版本升級。
5.投入產出效益(I)下設三個二級評價指示:
綜合投資費用(I1):該費用包括兩大部分,一部分是軟件及其相關費用,即軟件費用、培訓費用、實施費用、維護升級費用等四項費用,另一部分是指由軟件特點所產生的平臺費用,不同軟件要求的硬軟件平臺(如服務器、網絡、數據等)費用往往有相當大的差異。這也必須加以考慮。
內部收益率(I2):推行ERP是企業行為,必須效益驅動,該指標是判斷貼現率為多少時,投入和收益在確定的計算期內可以持平。再以計算出的內部收益率和標準收益率進行比較做出結論。
動態投資回報期(I3):是在考慮了資金的時間價值的基礎上,以標準貼現率(通常取12%)來計算出投入和收益達到平衡的時點,從而確定該項目的動態投資回收期。不同行業有各自的標準動態投資回收期,可通過比較作出結論。
二、支持向量機
支持向量機SVMs(Support Vector Machines)是由Vanpik領導的AT&T Bell實驗室研究小組在1963年提出的一種新的非常有潛力的分類技術,主要應用于模式識別領域。由于當時這些研究尚不十分完善,在解決模式識別問題中往往趨于保守,且數學上比較艱澀,因此這些研究一直沒有得到充分的重視。直到20世紀90年代,一個較完善的理論體系——統計學習理論(Statistical Learning Theory,簡稱SLT)的實現和由于神經網絡等較新興的機器學習方法的研究遇到一些重要的困難,比如如何確定網絡結構的問題、過學習與欠學習問題、局部極小點問題等,使得SVMs迅速發展和完善,在解決小樣本、非線性及高維模式識別問題中表現出許多特有的優勢,并能夠推廣應用到函數擬合等其他機器學習問題中,因此獲得了廣泛的應用。
(一)線性可分分類面
支持向量機的理論最初來自對二值分類問題,首先討論線性可分情況。SVMs基本原理是尋找一個最優分類而(Optimal Hyperplane),并使其兩側的分類間隙(Margin)最大。圖1所示的是二維線性可分情況,圖中十字星點和方形空心點分別表示兩類訓練樣本,H為把兩類沒有錯誤地分開的分類線,H1和H2從分別為過兩類樣本中離分類線最近的點且平行于分類線的直線,H1和H2從之間的距離叫做分類間隙。所謂最優分類線就是要求分類線不但能夠將兩類尤錯誤地分開,而且要使兩類的分類間隙最大,前者是保證經驗風險最小,而使分類間隙最大實際上就是使置信范圍最小,從而使真實風險最小,推廣到高維空間,最優分類線就成為最優分類面。

圖1 最優分類面
設線性可分樣本集為(x1,y1),i=1,。..,n,并∈Rd,即x是d維特征向量,y{-1,1}是類別標號,d維空間線性判斷函數的一般形式為:
g(x)=w·x+b (1)
分類面方程為:
w·x+b=0 (2)
即若集合中的類1和類2線性可分,則存在有(w·b),使得:
![]()
式中w為權向量,b為分類域值。從(2)式知道,若w和b同時被放大或縮小由(2)確定的分類面不變,為了消除這些冗余量,不失一般性,假設訓練集中的所有樣本都滿足|g(x)|≥1,即使離分類而最近的樣本的|g(x)|=1,這樣分類間隙就等于2/‖w‖,因此使間隙最大等價于使‖w‖(或‖w‖2)最小;這樣求:

下的最小值,就得到了最優分類面H。過兩類樣本中離分類面最近的點且平行于最優分類面的超平面H1和H2上的訓練樣本就是式(4)中使等號成立的那些樣本,它們叫做支持向量(Support Vectors,簡稱SVs)。圖中用圓圈標出的點即為SVs。
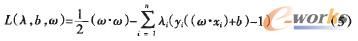
為了求解(3)式,引入Lagrange函數:
![]()
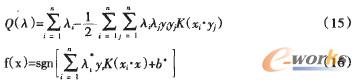
其中,λi≥0為Lagrange系數,函數L應對λi最大化,且對w和b最小化。為了求得w和b的極值我們將Lagrange函數分別對w和b求偏微分并令它們等于0,可以得到問題的約束條件(6)及對偶形式(7):

根據Kunh-Tucker條件,在鞍點處對偶變量與約束乘積為0,即:
![]()
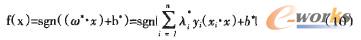
由上可知,非零A。所對應的樣本是由最接近超平面的樣本組成,這些樣本完傘確定了超平面。這些值不為零的A對應于使式(4)等號成立的樣本即為支持向量,因此判別函數可直接表示為:
![]()
(二)線性不可分分類面
線性不可分就是某些訓練樣本不能滿足式(4)的條件,這時日標函數(7)的最大值將為尤窮大,為此引入一個非負的松弛項:
![]()
線性不可分的分類問題變成在條件(11)和(12)的約束下求下列函數的極小值:
![]()
其中C為某個指定常數,它實際上起控制對錯分樣本懲罰的程度的作用。
用與求解線性分類面時同樣的方法求解這一優化問題,得到一個二次函數極值問題,其結果與線性可分情況下得到的式(6)—式(10)幾乎完全相同,只是條件(6)的A變為:
0≤λi≤C,i=1,2,。..,n (14)
(三)非線性可分分類面
上面討論的分類判別函數(10)中只包含待分類樣本與訓練樣本中的支持向量的內積運算(xi·x)。非線性判別問題的思路是先通過非線性變換將輸入向量映射到一個高維空間(Hilea空間)中,然后在此高維特征空間中進行分類運算,得到最優分類面。事實上,我們只要定義變換后的內積運算,而不必真的進行這種變換。統計學習理論指出,凡滿足Mercer條件的對稱函數,都可以作為內積函數使用。如果用內積K(x,y)代替線性分類面中的點積(這里稱為核函數),就相當于把原空間變換到了某一新的特征空間,此時式(7)優化函數變為:

算法的其他條件不變。統計學習理論使用了與傳統方法完全不同的思路,即不是像傳統方法那樣首先試圖將原輸入空問降維,而是設法將輸入空間升維,以求在高維空間中的問題變得線性可分(或接近線性可分);因為升維后只是改變了內積運算,并沒有使算法復雜性隨著維數的增加而增加。這里常用的核函數有以下三種:

三、ERP選型的基本定位
ERP選型的基本定位是根據美國著名咨詢公司Gartner Group于1995年提出了ERP軟件四區域技術功能矩陣,如圖2所示:

圖2 ERP軟件四區域技術功能矩陣圖
這四個不同區域的含義分別為:Ⅰ區域為保持優勢(Pemain)區域,該區域內的軟件產品在功能和技術兩方面較好,是ERP軟件產品的市場領導者。Ⅱ區域為有待加強(Peinforce)區域,該區域內的軟件產品技術先進,但功能尚不夠強,它們代表市場上出現的先進技術。Ⅲ區域為重新構造(Rebuild)區域,該區域內的軟件產晶功能方麗得分很高,但是技術上得分較低,從長遠看這些軟件產品是沒有生命力的,它們必須用新技術來重新構造。Ⅳ區域為重新考慮(Review)區域,該區域的軟件產品技術和功能都較差,是四個區域中最差的部分,已經購買這類軟件的用戶要重新認真考慮,并分析是否繼續投資。根據四區域技術功能矩陣,我們認為:凡是進入Ⅲ、Ⅳ區域的軟件產品是不可選擇的;進入、Ⅱ區域的軟件產品進入區域的軟件產品是重點考慮的對象。
四、基于支持向量機的ERP軟件供應商評價方法
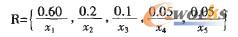
上文中所構建的指標體系中大多數指標都是基于程度而非基于數值,因此必須對其進行量化處理才可應用于支持向量機,量化處理的方法有很多,如專家評分法、模糊數學法等。本文結合專家評分與模糊數學的方法,對各項指標進行量化。對于非數值的指標,我們用{很好,較好,一般,較差,很差}表示評語集,對每一種指標,送給n個專家打分,用每種程度上打分的專家人數比例作為該程度上的隸屬度。例如:對指標——生產類型滿足程度(U1)進行打分,其評語集X={x1,x2,x3,x4,x5}={好,較好,一般,較差,很差},其統計結果表明:60%的專家認為是很好,20%認為較好,10%評價為一般,5%認為較差,5%認為很差,由此得到對這個指標的模糊評價集:
![]()
它可簡寫為向量形式R=(0.60,0.2,0.1,0.05,0.05),模糊評價向量中的數值分別為對各評價標準的隸屬度。同時,我們將評語集數值化,對應關系如表1所示:
表1 評語數值化對照表
![]()
可記為向量w=(9,7,5,3,1),則該指標的評分為:

若方案在某個單一指標xi下的模糊評價向量Ri={ri1,ri2.。.,rim},則該方案對前13個非數值評價指標的模糊評價矩陣:

則綜合模糊評價向量B為:
B=wR‘=(b1,b2,。..,bm) m=13 (22)
綜合投資費用(T1),內部收益率(T2),動態投資回報期(T3)這三個指標為數值指標,為便于權重的調整,我們將這三個指標的數值分別除以行業平均水平,再放大5倍即可,具體公式如下:
![]()
這樣就得到了新的評價向量:
B’=(b1,b2,。..,b14,b15,b16) m=13 (24)
向量B‘即可作為支持向量機的輸入向量。
對于支持向量機核函數的選取,我們借鑒一些學者的研究成果,可以直接采用向量內積作為核函數。選取多家位于ERP軟件四區域技術功能矩陣第Ⅰ、Ⅱ象限中的優秀企業為樣本,計算出相應B’向量作為訓練樣本對支持向量機進行訓練,這樣支持向量機就可以識別位于第Ⅰ、Ⅱ象限中的軟件供應商。再計算出各侯選ERP供應商的B‘向量輸人到支持向量機中,得到:

整個評價流程如圖3所示:

圖3 評價流程圖
五、實例研究
某企業因發展需要,決定進行信息化建設。經過初步篩選,重點選擇出5家候選供應商,利用本文中的方法,對這5家供應商進行評價。首先選取10家專家公認的位于ERP軟件四區域技術功能矩陣中第Ⅰ、Ⅱ象限中的優秀企業作為訓練樣本對支持向量機進行訓練,這樣支持向量機就可以識別位于第Ⅰ、Ⅱ象限中的軟件供應商。讓7位專家根據上述16個指標對這5家供應商進行評價,按照式(20)~(23)計算并形成各自的評價向量B’作為支持向量機的輸入,得到結果如表2所示:
表2 試驗結果
![]()
結果表明,A和C企業是適合該企業的ERP軟件供應商,可以選擇之中任意一家作為信息化建設的合作伙伴。
六、結論
支持向量機是一種基于統計學習理論的方法,具有很好的分類性能,本文提出了一種新的基于支持向量機的ERP軟件供應商選擇方法,使企業對如何選擇ERP軟件供應商有了綜合的評價,企業可以正確選擇ERP軟件供應商,從而更有效的實現企業的信息化建設。
轉載請注明出處:拓步ERP資訊網http://www.shjqjggc.cn/
本文標題:合理選擇支持向量機的ERP軟件供應商
























