0 前言
產品配置設計可以理解為根據預定義的零部件集以及它們之間的相互關系,通過合理的組合,形成滿足客戶個性化需求的產品設計過程。變型設計是指設計者通過提取已存在的設計方案或設計計劃,然后在其基礎上作相應的修改,以產生一個與原設計相似的新設計方案。在產品配置設計中,除了配置模塊選擇外,配置模塊修改也是一個非常重要的問題。在產品配置設計中,有時會遇到現有的配置模塊無法配置出滿足客戶個性化要求的新產品的情況,另外隨著技術的更新,有時需要進行產品的再配置,在這些情況下,經常需要對配置產品的部分模塊進行變型設計或修改,當配置產品中的某個模塊的尺寸改變以后,其他模塊如何做出相應的改變是配置設計中一個非常重要而又迫切需要解決的問題。因此,進行配置模塊尺寸修改方法研究就具有十分重要的意義。
與產品配置相關的一些技術和方法,如事物特性表技術、參數化設計技術、變型設計技術、配置模塊選擇方法等都已得到較廣泛的研究。研究人員利用分層遞階模型、關聯圖、超圖等方法來進行參數化產品設計以及產品變型設計等研究。在上述的技術和方法基礎上,利用復雜網絡理論,建立產品尺寸約束關系網絡,利用網絡的相關算法來研究尺寸變化在產品零件之間的傳遞方法,為產品配置的配置模塊尺寸修改與產品變型設計提供一種新的思路和方法。
1 零件事物特性表
1.1 事物特性表技術
事物特性是指表征產品、部件和零件的幾何特性、功能特性和制造特性等的信息集合。事物特性表定義了從對象組中表征和區分某個對象的決定性特性,規定了特性數據的表示格式,使零部件的特性數據能夠方便地在不同的系統之間交換。建立事物特性表的主要目的是構建能夠進行變型的模塊化系統,支持有效的檢索和變型設計。在GB/T10091.1-1995《事物特性表定義和原理》中明確規定了事物特性表的格式,如表1所示。
表1 GB/T10091.1-1995規定的事物特性表

1.2 零件事物特性表
要建立零件的事物特性表,首先需要對零件進行參數分析。零件的參數有多種類型,這里主要討論零件的尺寸參數。通常,可以將尺寸參數分為不變參數、可變參數和導出參數三種類型。不變參數是指在零件的各種變型中始終保持不變的參數;可變參數是指在零件的各種變型中可以改變的參數;導出參數是指由其他參數計算出來的參數。在如圖1所示的聯軸器零件中,經過分析,可將尺寸參數A、B、C歸為可變參數。將尺寸參數DAA、DAB、DAC、DAD、DAE、DAF、DAG歸為導出參數;例如,可設DAA=C/3.0,DAB=A/3.0,DAC=C+10.0,DAD=B-30.0,DAE=C+5.0,DAF=C+22.0,DAG≈B/24且在國家標準規定的尺寸系列中選用。將尺寸參數L3、R1歸為不變參數。

圖1 聯軸器零件的事物特性分析
根據事物特性表規范,可得圖1所示的聯軸器零件的事物特性表,如表2所示。
表2 聯軸器零件事物特性表

2 產品尺寸約束關系網絡
2.1 產品主結構
產品主結構描述了一個可配置的、包括所有標準構件的模塊化產品系統的組成情況,可以根據不同客戶的需求,從產品主結構中派生出滿足客戶需求的定制產品的結構。
2.2 尺寸約束關系網絡
網絡是頂點與邊的集合。現實世界中,網絡形式的系統隨處可見,有許多大家熟知的網絡形式,例如因特網、萬維網、科學家合作網、電影演員合作網、食物鏈網和神經網絡等。利用網絡理論、算法及其統計參數,可以解決一些用其他理論和方法難以解決的實際問題。在制造業領域,也可將許多問題抽象成網絡形式,利用網絡的分析研究方法及其相關算法來對這些問題進行研究,尋求解決這些問題的新理論和新方法。這里將復雜網絡理論引入大批量定制領域,以產品主結構和零件事物特性表為基礎,根據產品主結構中各個零件之間的尺寸關聯和約束關系來建立產品尺寸約束關系網絡。
產品尺寸約束關系網絡的構建方法如下:以產品、部件以及零件主模型中的尺寸作為網絡的結點,以尺寸間的相互約束關系為邊,邊取為有向邊,邊的方向為從某一尺寸結點出發指向受該尺寸結點約束的尺寸結點,邊的權重為邊的起始尺寸結點與邊的終止尺寸結點之間的換算關系(例如,假設尺寸d1、d2與尺寸d3之間的計算關系式為d3=d1+0.5d2,則從尺寸d1到尺寸d3的有向邊的權重為1,從尺寸d2到尺寸d3的有向邊的權重為0.5),從而構成一張加權有向網絡。
在如圖2所示的聯軸器裝配關系示意圖中,共有4種零件,分別為聯軸器1、聯軸器2、鉸制孔螺栓、六角薄螺母。聯軸器的事物特性如第1.2節中所述,螺栓、螺母示意圖及其各自的主要事物特性如圖3所示。在圖3中,螺栓的可變參數為A03,B,其余各個參數均為導出參數;螺母的可變參數為A03,其余參數為導出參數。為簡便起見,這里不再列出螺栓、螺母的事物特性表。

圖2 聯軸器裝配圖示例
1.聯軸器1 2.聯軸器2 3.鉸制孔螺栓 4.六角薄螺母

圖3 螺栓、螺母零件的事物特性分析
在圖2中,主要有以下幾種尺寸裝配關系:左右聯軸器的特性尺寸DAD,聯軸器的特性尺寸DAG和鉸制孔螺栓的外徑等。
如果已有相應的產品主模型,則可以編制程序對CAD系統進行二次開發,提取CAD系統變量表中的尺寸約束關系,然后按照尺寸約束關系網絡的構建方法編制程序構建尺寸約束關系網絡。按上述方法構建圖2所示的聯軸器裝配體的尺寸約束關系網絡,構建的尺寸約束關系網絡如圖4所示。在圖4中,各網絡結點代號中小數點前的數字對應圖2中的零件序號,小數點后的部分代表相應零件的特性尺寸參數。例如,1.A代表聯軸器1的可變尺寸參數A,4.F代表螺母的導出尺寸參數F。

圖4 尺寸約束關系網絡示例
2.3 網絡統計參數及其意義
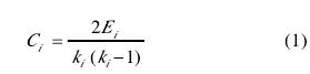
在有向網絡中,結點的入度定義為指向該結點的邊的條數。結點的出度定義為從該結點出發的邊的條數。最短路徑定義為從某個結點出發,到另一指定結點的有向路徑中距離最短的那一條路徑。介數定義為經過某個結點(或某條邊)的最短路徑的條數,分別稱為點介數和邊介數。簡單路徑定義為路徑中除起點和終點外,其他結點不重復出現的路徑;圖4中的路徑1.B→1.DAG→3.A03→4.A03→4.F→3.B就是一條從1.B出發到3.B終止的簡單路徑。結點的廣義介數定義為包含該結點的簡單路徑的條數。結點的積聚系數定義為該結點的鄰居結點彼此之間是鄰居的概率。在復雜網絡中,結點的積聚系數計算公式為

式中 Ci——結點i的積聚系數
ki——結點i的鄰居結點數,即與結點i通過一條有向邊直接相連的結點數
Ei——結點i的ki個鄰居結點中彼此直接相連的邊的數目
由產品尺寸約束關系網絡的物理意義,容易得出上述各個統計參數的物理意義。
結點的入度是指直接影響該結點所代表尺寸的結點數(尺寸數)。在圖4所示的尺寸約束關系網絡中,結點3.B的入度為3,表明有3個尺寸直接影響尺寸3.B,分別為1.DAA、2.DAA、4.F。
結點的出度是指直接受該結點所代表尺寸影響的結點數(尺寸數)。在圖4所示的尺寸約束關系網絡中,結點1.C的出度為4,表明受尺寸1.C直接影響的尺寸有4個,分別為1.DAA、1.DAC、1.DAE、1.DAF。
結點的廣義介數反映該結點的重要程度。一般說來,廣義介數越大,和該結點相關聯的后續(或下游)結點數量越多,因此在進行變型設計或尺寸修改時,要盡量選擇那些廣義介數小的結點。在圖4所示的尺寸約束關系網絡,結點1.B,結點2.B,結點3.A03等具有較大的廣義介數,而結點1.A、2.A、1.C、2.C等則具有相對較小的廣義介數。因此,應盡可能避免修改尺寸參數1.B、2.B、3.A03。
積聚系數反映的是尺寸間影響關系的直接程度,積聚系數越小,說明尺寸間彼此的影響越直接,在建立產品主模型時,應使結點具有盡可能小的積聚系數。可以考慮將尺寸約束關系網絡中所有結點的平均積聚系數作為產品主模型的評價指標之一,一般說來,希望尺寸約束關系網絡具有盡可能小的平均積聚系數。在圖4所示的尺寸約束關系網絡中,絕大部分結點的積聚系數為0,如結點1.A、1.B、1.C等,只有少數結點的積聚系數不為0,如結點1.DAG、2.DAG、3.A03。
兩結點之間的簡單路徑條數表明了路徑的起始結點對路徑終點的影響途徑的多少。一般說來,希望指定的兩結點間的簡單路徑越少越好,這樣,路徑起始結點對路徑終點的影響途徑較少,便于進行產品的尺寸參數傳遞計算。在圖4所示的尺寸約束關系網絡中,結點1.C到結點3.B的簡單路徑為1,說明結點1.C對結點3.B的影響途徑比較單一。
在有向網絡中,如果某些結點組成一個子網,且該子網的任意兩個結點間都至少存在一條有向路徑可達對方,則該子網稱為強連通子網。在有向網絡中,不是強連通子網的連通子網則稱為弱連通子網。例如,在圖4中結點1.DAD、2.DAD組成一個包含兩個結點的強連通子網;結點2.A、2.DAB組成一個包含兩個結點的弱連通子網。
由尺寸約束關系網絡的物理意義,還可以得到以下一些有用的信息。零件事物特性表中的非裝配用的固定尺寸參數,在尺寸約束關系網絡中通常表現為孤立的結點(其入度與出度都為零),如圖4中的尺寸結點1.L3、1.R1等。零件的可變尺寸參數是進行變型設計或模塊修改時用戶可以改變的尺寸,當零件的可變尺寸參數不是裝配尺寸時,其在尺寸約束關系網絡中往往表現為源點(有向網絡中,只有出度沒有入度的結點稱為源點),如圖4中的尺寸結點1.A、1.B、1.C等;當零件的可變尺寸參數為裝配尺寸時,其在尺寸關系網絡中往往表現為中間結點(既有入度又有出度的結點),如圖4中的結點3.A03、4.A03。零件的導出尺寸參數是根據可變參數計算出來的,它要么表現為匯點(只有入度,沒有出度的結點),如圖4中的結點1.DAB、3.B等,要么表現為中間結點,如圖4中的結點4.F等。因此,可以通過計算結點的入度和出度來大致判斷結點的性質。
3 尺寸參數傳遞方法
3.1 算法簡介
3.1.1 簡單路徑搜索算法
在復雜網絡中,簡單路徑是指除起點和終點外,序列的中間結點不重復出現的路徑。如果一條路徑為簡單路徑,且其終點與起點是同一個結點,則稱該簡單路徑為環。在如圖5所示的有向網絡中,從結點1至結點27的路徑1→2→7→10→21→23→24→25→27就是一條簡單路徑。為深入研究各種復雜網絡,經常需要搜索有向網絡中任意兩個結點之間或從某個指定結點出發到其他所有結點之間的簡單路徑。

圖5 有向網絡示例
需要說明的是,有向有環網絡的簡單路徑搜索是個NP難問題,目前尚無好的簡單路徑搜索算法。通常采用的方法是先去掉有向有環網絡中的環,然后按無環網絡進行處理。有關有向有環網絡去環的算法可以參閱文獻,在此不加以詳細論述。
在產品尺寸約束關系網絡中,一般情形下,有兩種情況會導致尺寸約束關系網絡中出現環。一種是由尺寸的循環約束導致的,這種情況將導致尺寸關系的循環迭代,最后導致設計的無解。因此,在進行產品的模塊化設計時,要注意避免出現尺寸循環約束的情況,這也可以作為衡量設計質量高低的評價指標之一。另一種情形是由尺寸裝配關系導致的,如圖4中的尺寸結點1.DAG、2.DAG、3.A03形成的環。無論是第一種情形還是第二種情形,都會大大增加簡單路徑搜索的難度,因此,必須首先將尺寸約束關系網絡中的環去掉。
需要說明的是,在去環時要遵循如下原則:保證網絡中不存在環的情況下,去掉的邊越少越好。去環時,不能去掉結點,只能去邊,并且要保證有環連通網絡在去環后仍然是連通網絡,且結點數與去環前相同。
由第2節所述,可以得知,在尺寸約束關系網絡中,無論是從指定結點出發到另一指定結點的簡單路徑數,還是從指定結點出發到其他所有結點的簡單路徑數,都具有比較明顯的物理意義,因此,簡單路徑搜索算法研究就具有特別重要的意義。提出了一種簡單實用的簡單路徑搜索算法,并編制程序實現了該算法。由于已專門撰文論述簡單路徑搜索算法,故在本文中不再予以詳細論述。
3.1.2 連通子網搜索算法
在有向網絡中,有兩種形式的連通子網,弱連通子網和強連通子網。弱連通子網的搜索算法比較簡單,要搜索包含某指定結點的弱連通子網,從該指定結點出發,按廣度優先順序搜索與當前結點相連的且沒有被遍歷過的結點,直至遍歷完所有搜索到的結點為止,所有被遍歷到的結點構成一張包含指定結點的弱連通子網。
強連通子網搜索算法比弱連通子網搜索算法稍微復雜一些,由于受篇幅的限制,在此不詳細敘述強連通子網的搜索算法,強連通子網搜索算法可以參閱文獻。
需要說明的是,弱連通子網中也可以包含一個局部強連通子網。在圖4所示的尺寸約束關系網絡中,結點2.B、2.DAD、2.DAG、1.DAD、1.DAG、1.B、3.A03、3.A06、3.A05、3.C、3.F、3.B1、3.E1、4.A03、4.E1、4.F、3.B、1.DAA、1.C、1.DAC、1.DAE、1.DAF、2.DAA、2.C、2.DAC、2.DAE、2.DAF組成一個弱連通子網。在該弱連通子網中,包含兩個局部強連通子網,分別為1.DAD、2.DAD和1.DAG、2.DAG、3.A03、4.A03。在局部強連通子網1.DAG、2.DAG、3.A03、4.A03中還存在環,如路徑1.DAG→2.DAG→3.A03→1.DAG。
3.2 尺寸參數傳遞方法
由于尺寸約束關系網絡尺寸間約束關系的復雜性,可能會導致環的存在。因此,需要首先去掉網絡中的環,然后再針對不同的情況采用不同的處理方法。經過分析,可以將去環后的連通子網分為以下兩種不同的情形:①連通子網中不包含裝配尺寸對或包含的裝配尺寸對均為不變尺寸。②連通子網中包含裝配尺寸對,且裝配尺寸對為可變尺寸或導出尺寸。下面分別針對這兩種不同的情形加以討論。
3.2.1 連通子網中不包含裝配尺寸對或包含的裝配尺寸對均為固定尺寸
這種情形相對而言比較簡單。首先分析不包含裝配尺寸對的情形,如圖4中的由節點1.A、1.DAB組成的弱連通子網。為更具一般性,不妨假設存在如圖6所示的不包含裝配尺寸對的弱連通子網。

圖6 不包含裝配尺寸對的弱連通子網示例
該弱連通子網由結點1.1、1.2、1.3、1.4、1.5、2.1、2.2、2.3、2.4、2.5、3.1、3.2、3.3、3.4、3.5、3.6、3.7、3.8、4.1、4.2、4.3組成。在這種情形下,從要修改的可變尺寸結點出發,搜索從該結點出發的所有簡單路徑,所有簡單路徑所經過的結點尺寸都是可能受該可變尺寸結點影響的尺寸。在圖6所示的弱連通子網中,如果要修改的尺寸為1.1,利用簡單路徑搜索算法,可得從該結點出發的簡單路徑有三條。路徑1為1.1→1.3;路徑2為1.1→1.4;路徑3為1.1→1.2→3.4。可見,當修改尺寸1.1時,要進行相應修改的尺寸有:1.3、1.4、1.2、3.4。下面介紹各個受指定的可變尺寸影響的導出尺寸的計算方法,其計算表達式為

式中 n——從可變尺寸到指定的導出結點尺寸的簡單路徑條數
ki——第i條簡單路徑所經歷的結點數
wij,i(j+1)——從第i條路徑的第j個結點出發到第j+1個結點的邊的權重
d——指定的可變尺寸的尺寸值
D——指定的導出尺寸的尺寸值
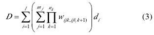
在尺寸關系網絡中,有時存在多個可變尺寸對同一個導出尺寸產生影響的情形。例如,在圖6所示的尺寸約束關系網絡中,結點1.1,2.1,3.1等都可能對尺寸結點3.4產生影響。可以按上述方法,依次計算各個可變尺寸結點對導出尺寸(如3.4)的影響,然后進行線性疊加即可。將此情形一般化,可得如下統一的數學表達式

式中 l——對指定的導出尺寸結點產生影響的可變尺寸數
mj——第j個可變尺寸到指定導出尺寸結點的簡單路徑條數
nk——第j個可變尺寸的第k條簡單路徑所經歷的結點數
wijk,ij(k+1)——從第i個可變尺寸第j條路徑的第k個結點到其第k+1個結點的邊的權重
di——第i個可變尺寸的尺寸值
D——指定的導出尺寸結點的尺寸值
由式(2)、(3)可以看出,要計算指定的導出尺寸,必須首先計算出從可變尺寸結點出發到導出尺寸結點的所有簡單路徑所經歷的中間尺寸結點的值,并且要按簡單路徑中的結點順序依次計算,即先計算簡單路徑中離路徑起點最近的導出尺寸值,依次后推,直至求出指定的導出尺寸為止。
如果弱連通子網中包含的裝配尺寸對均為固定尺寸,由于固定尺寸在零件(或產品)的各個變型中始終保持不變,因此,可以將連通子網中直接或間接只受固定尺寸影響的尺寸結點去掉,留下的結點構成一張規模更小的弱連通子網,按前述的方法進行求解即可。
3.2.2 弱連通子網中存在裝配尺寸對且裝配尺寸對為導出尺寸或可變尺寸
針對這種情形,可以采用如下的尺寸參數傳遞方法。從要修改的可變尺寸結點出發,按簡單路徑搜索算法搜索出從該結點出發的所有簡單路徑。按第3.2.1節中的方法計算上述所有簡單路徑所經歷的各個尺寸結點的尺寸大小。如果當前正在處理的尺寸結點為裝配尺寸且與要修改的可變尺寸不屬于同一個零件,首先判斷當前正在處理的裝配尺寸是可變尺寸還是導出尺寸,然后根據不同的情況進行相應的處理。
(1)如果當前正在處理的裝配尺寸是可變尺寸,則不需要進行特別處理,只需根據簡單路徑搜索結果按第3.2.1節中的方法進行處理即可。如圖4中的尺寸3.A03,4.A03。
(2)如果當前正在處理的裝配尺寸是導出尺寸,則先求解連通子網中與當前正在處理的裝配尺寸結點同屬一個零件的可變尺寸結點,然后搜索從這些可變尺寸結點出發,到當前正在處理的裝配尺寸結點的所有簡單路徑,按與第3.2.1節中相同的方法計算這些可變尺寸與當前正在處理的裝配尺寸之間的換算關系。由于裝配尺寸的大小已知,反過來可以計算得到與當前正在處理的裝配尺寸同屬一個零件的各個可變尺寸的大小。
現舉例加以說明。不妨假設存在如圖7所示的弱連通子網。在圖7中,共有3個不同的零件(零件1、2、3),12個不同的尺寸(1.1、1.2、1.3、1.4、1.5、2.1、2.2、2.3、2.4、2.5、3.1、3.2),其中個為可變尺寸(1.1、1.2、2.1、2.2、3.1),共有2對裝配尺寸1.5↔2.5,2.5↔3.2,裝配尺寸1.5、2.5、3.2均為導出尺寸。
在圖7中,不妨設要修改的可變尺寸為2.1,按簡單路徑搜索算法搜索出從結點2.1出發的簡單路徑,共有4條,分別為
2.1→2.3→2.5→1.5
2.1→2.3→2.5→3.2
2.1→2.4→2.5→1.5
2.1→2.4→2.5→3.2
四條簡單路徑包含的結點為2.1、2.3、2.4、2.5、1.5、3.2;其中2.5、1.5、3.2為裝配尺寸。

圖7 弱連通子網示例
假設當前正在處理的裝配尺寸結點為1.5,它與結點2.1不屬于同一個零件,則求連通子網中與結點1.5同屬一個零件的可變尺寸,求得的結果為1.1,1.2。搜索起點為1.1,終點為1.5的簡單路徑,搜索結果有兩條,分別為1.1→1.3→15,1.1→1.4→1.5;同理可得起點為1.2,終點為1.5的簡單路徑為1.2→1.4→1.5,1.2→1.3→1.5。按第3.2.1節中的方法計算1.1,1.2各自與1.5之間的換算關系,反過來,可以得到1.5與1.1,1.2之間的換算關系。而1.5的大小已經通過裝配關系求得,因此可以得到尺寸1.1,1.2的大小,在求得1.1,1.2后,可得尺寸1.3,1.4的大小。同理,通過裝配尺寸3.2,可以求得零件3的可變尺寸3.1的大小。這樣,當零件2的可變尺寸2.1改變后,通過上述方法,整個連通子網中需要做相應修改的各個尺寸結點都可以求得。
上述就是本節要討論的通過裝配關系,求解不同零件間的尺寸參數傳遞方法。需要說明的是,盡管所舉的實際例子不是很復雜,但上述算法是通用的,可以適用各種復雜的情形。因此,提出的算法是具有普適性的,為產品不同零件間的尺寸參數傳遞提供了一種新的方法。
4 配置模塊修改方法
在產品配置設計中,有時會遇到現有的配置模塊無法配置出滿足客戶個性化要求的新產品的情況。另外,隨著技術的更新,有時需要對產品進行升級換代或進行產品的再配置。在這些情況下,經常需要對配置產品的部分模塊進行變型設計或修改,當配置產品中的某些模塊的部分或全部尺寸改變以后,其他模塊如何做出快速準確的相應修改是配置設計中一個非常重要而又迫切需要解決的問題。一些學者分別從不同的側面對這個問題進行了研究,并取得了一些研究成果,但這個問題至今仍然是產品配置中的研究熱點。通常,配置模塊變型設計或修改問題又可以分為兩個方面,第一,當修改配置產品的某個模塊或某個尺寸后,如何快速查找其他可能需要修改的模塊或尺寸,第二,如何確定各個相應尺寸的具體修改值。本文將網絡理論應用于大批量定制的產品配置領域,建立產品尺寸關系網絡,利用網絡理論及其相應的算法,提出一種新的配置模塊尺寸參數修改方法。下面針對上述問題加以闡述,具體步驟如下。
(1)建立產品中各個零件的事物特性表;確定零件中各個尺寸之間的換算關系,確定零件之間的裝配關系及相應的裝配尺寸約束關系。
(2)建立產品尺寸約束關系網絡。
(3)根據用戶要求與設計準則,確定要修改的模塊以及要修改的具體尺寸。
(4)利用有向網絡的弱連通子網搜索算法,從某個要修改的尺寸結點出發,搜索包含該結點的弱連通子網。
(5)檢查弱連通子網中是否存在環,如果存在環,則按去環方法去掉弱連通子網中的環,得到一個新的不存在環的弱連通子網,然后轉(6)。如果弱連通子網中不存在環,則直接轉(6)。
(6)如果弱連通子網中不包含裝配尺寸對或包含的裝配尺寸對為固定尺寸,則按第3.2.1節中的方法進行尺寸參數傳遞與修改。如果弱連通子網中包含裝配尺寸對,且其為可變尺寸或導出尺寸,則按第3.2.2節中的方法進行尺寸參數傳遞與修改。
(7)根據上述方法依次從所有要修改的尺寸結點出發,對受其影響的尺寸參數進行相應修改。最后便可求得所有要修改的尺寸參數的變化量以及這些尺寸參數所屬的零件。
5 應用實例
由于復雜機械產品包含的零件通常比較多,零件的尺寸約束關系網絡復雜,為簡單清晰起見,這里仍以圖2中的聯軸器產品為例,構建的尺寸約束關系網絡如圖4所示。根據第3節,第4節中的方法,采用面向對象技術來表達和描述各個尺寸結點(例如可以采用結構體數據類型來表達尺寸結點,結構體中包含如下的變量:尺寸結點的名稱、尺寸結點所屬的零件名、尺寸結點的性質(可變尺寸,固定尺寸或導出尺寸)、尺寸結點的類型(裝配尺寸,非裝配尺寸)等),采用鄰接表數據結構形式來描述和表達尺寸約束關系網絡,利用C++語言編制程序,實現了所述的各個算法。
以圖4所示的尺寸約束關系網絡為例,如果要修改的可變尺寸為1.B、1.B的變化量為36,即從原來的尺寸基礎上增加36,不妨假設1.B從168增加到204。按第4節中的步驟進行配置模塊修改。
(1)按弱連通子網搜索方法可得從1.B出發的弱連通子網包含的結點為:1.B、1.DAG、1.DAD、2.B、2.DAD、2.DAG、3.A03、3.A06、3.A05、3.C、3.F、3.B1、3.E1、4.A03、4.E1、4.F、3.B、1.DAA、1.C、1.DAC、1.DAE、1.DAF、2.DAA、2.C、2.DAC、2.DAE、2.DAF。該弱連通子網中所有的結點都是可能要修改的結點。
(2)由于該弱連通子網中存在環,結點1.DAG、2.DAG、3.A03形成環,按去環的方法,去掉連通子網中的環,不妨假設去掉的邊為2.DAG→3.A03,3.A03→2.DAG。去掉這兩條邊以后,網絡中不存在環。
(3)由于去環后的弱連通子網中包含裝配尺寸對,因此需要按第3.2.2節中的方法進行尺寸參數傳遞與修改。利用簡單路徑搜索算法,可以求得從1.B出發的簡單路徑,求得的簡單路徑有
1.B→1.DAG→2.DAG
1.B→1.DAD→2.DAD
1.B→1.DAG→3.A03→3.A05
1.B→1.DAG→3.A03→3.A06
1.B→1.DAG→3.A03→3.C
1.B→1.DAG→3.A03→3.B1
1.B→1.DAG→3.A03→3.E1
1.B→1.DAG→3.A03→3.F
1.B→1.DAG→3.A03→4.A03→4.E1
1.B→1.DAG→3.A03→4.A03→4.F→3.B
所有簡單路徑所經歷的結點尺寸都是可能要改變的尺寸。按式(2)可以求得上述簡單路徑所經歷的各個結點的尺寸變化量。這里僅以幾個尺寸為例加以具體說明。如果要計算3.B的變化量,可以按路徑1.B→1.DAG→3.A03→4.A03→4.F→3.B來計算3.B的變化量,經計算,可得尺寸3.B的變化量為0.8。上述簡單路徑包含的結點中,結點2.DAG、2.DAD、3.A03、4.A03為裝配尺寸,且與要修改的尺寸結點1.B不屬于同一個零件。由于3.A03,4.A03是可變尺寸,因此不需進行特別處理。按照第3.2.2節中的方法,求得零件2中終點為2.DAG和2.DAD的所有簡單路徑,求得的結果為2.B→2.DAG,2.B→2DAD。按第3.2.2節中的方法,可以求得尺寸2.B的變化量。經計算,尺寸2.B的變化量為36。
如果要修改的可變尺寸為1.C,1.C的變化量為10,即在原來的尺寸基礎上增加10。根據前述方法,可以求得相應的要修改的尺寸結點有1.DAE、1.DAA、1.DAC、1.DAF、3.B,按公式(2)可以計算得到上述五個尺寸的變化量依次為10、3.33、10、10、3.33,即5個尺寸各自在原來的尺寸基礎上增加的量依次為10、3.3、10、10、3.3。同理,如果要修改的尺寸結點為2.C,假設2.C的變化量為20,可得要修改的尺寸結點有2.DAE、2.DAA、2.DAC、2.DAF、3.B;5個尺寸相應的變化量依次為20、6.67、20、20、6.67。
如果同時按上述變化量修改尺寸1.B,1.C,2.C。根據式(3),可得結點3.B的變化量為上述三者各自所引起的3.B的變化量的代數和,即為0.8+3.3+6.67=10.8。即當1.B、1.C、2.C按上述值改變時,求得的3.B的增加量為10.8。需要說明的是,由于零件3為標準件,在實際確定3.B的變化量時,還需要滿足標準件的尺寸系列要求。即要求3.B的變化量大于等于計算量,且符合標準件尺寸系列要求。
6 結論
提出了產品尺寸約束關系網絡構建方法,闡述了尺寸約束關系網絡各個統計參數的計算方法及其物理意義,并闡述了有向網絡的相關算法,提出了配置產品尺寸參數傳遞方法,編制程序實現了上述算法。以聯軸器產品為例,對上述方法加以應用,取得了令人滿意的結果。提出的尺寸參數傳遞方法為配置設計中的模塊修改提供新的解決思路和方法,具有重要的理論意義和實際意義,將為配置產品變型設計以及配置模塊修改提供有力的支持。盡管所舉的實例相對比較簡單,但提出的方法是普適的,可以為各種復雜產品的變型設計與配置模塊修改提供有效的解決方法。
核心關注:拓步ERP系統平臺是覆蓋了眾多的業務領域、行業應用,蘊涵了豐富的ERP管理思想,集成了ERP軟件業務管理理念,功能涉及供應鏈、成本、制造、CRM、HR等眾多業務領域的管理,全面涵蓋了企業關注ERP管理系統的核心領域,是眾多中小企業信息化建設首選的ERP管理軟件信賴品牌。
轉載請注明出處:拓步ERP資訊網http://www.shjqjggc.cn/
本文標題:配置產品尺寸參數傳遞方法及其應用
























