DELMIA人機工程在飛機虛擬維修中的應用(一)
1.3 維修性分析、評價
1997年美國軍用手冊MIL-HDBK-470A中明確地提出:“使用VR(Virtual Reality)技術,維修性工程師可以進入到虛擬環境中,對虛擬產品進行維修。這樣,部件的可達性、部件分配空間的合理性以及完成特定維修任務所需的大概時間等信息均可以借助VR技術來進行評估。”
(1)可達性分析:可達性是維修產品時,接近維修部位的難易程度。包括實體可達(比如身體某一部位或借助工具能夠接觸到維修部位),還要有足夠的操作空間。如圖6所示,改進通道口來實現注油部位的可達。

圖6 可達性分析
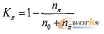
為了定量地評估可達特性采用基本動作估算法,其估算值也可用于評估易更換性。可達性定量分析由可達系數Kπ衡量

式中:no為維修工作的基本作業(基本作業指在工作過程中最簡單的動作,如拆卸螺栓)數;nπ為附加工作的基本作業(如拆卸干擾部件)數。Kπ的取值范圍為[0,1],Kπ值在0.75以上可以認為具有較好的可達性。所以,為進一步提高維修對象的可達性,盡可能做到在維修任一部分時,不拆卸、不移動其他部分。
(2)可視性分析:虛擬人在仿真中能得到人眼的視覺窗口,我們能直觀地看到人在不同位置,不同姿態的視覺范圍。例如維修時,一般應能看見內部的操作,其通道除了能容納維修人員的手和臂外,還應留有適當的間隙以供觀察,圖7是維修中為保證目視到內部的操作而開的一個觀察窗孔。

圖7 保證目視的窗孔和通道口
(3)工作空間分析
碰撞干涉分析:主要內容是檢驗維修人員在維修過程中是否與維修對象發生干涉。碰撞和干涉的定性評估可通過虛擬維修過程仿真直接判斷,定量分析則用作業空間比r來評估

式中:V為作業空間;Vmin為最小作業空間,當操作部位和維修工具確定時,Vmin為定值。
圖8 (a)中虛線所圍成的空間即為該作業的作業空間,在虛擬環境中對其測量,計算出作業空間大小。以人的肢體和套筒工具所涉及的最小矩形體空間作為拆卸螺桿最小作業空間,見圖8(b)。根據測量數據,計算出作業空間比r,如果r>1.5,則該維修部位作業空間比較好,維修過程中一般不會發生碰撞和干涉。如果考慮合理布局和充分利用空間的情況,作業空間比也不宜過大,可對作業空間根據具體情況進行調整。

圖8 作業空間測量
余隙分析:在虛擬人與產品之間定義一個最小活動空間范圍,用可視化顏色顯示人與產品之間余隙是否滿足設計要求。如圖9所示,虛擬人離開駕駛室時頭部與頂棚之間的余隙分析。

圖9 人離開駕駛室時頭部余隙分析
(4)拆裝時間估算
通過觀察整個仿真演示過程所消耗的時間,或查看維修過程仿真屬性中的“仿真周期時間”,或查看仿真過程Gantt圖這三種方式都可以估算本例中的拆裝時間。例如圖5除冰過程中每個動作所消耗的時間,其Gantt圖如圖10所示。

圖10 Gantt圖中每個動作所消耗的時間
(5)作業姿態分析
工作姿態分析的內容是判斷維修人員是否能夠處于最佳作業姿勢,并運用最佳作業動作進行維修作業,維修作業是否會引起維修人員工作效率下降和疲勞。此項工作可以利用CATIA或DELMIA中的姿態評分分析功能來完成,通過建立最優人體作業姿態庫,評價作業姿態接近最優姿態的程度,以判斷工作姿態是否合理。圖11給出了圖5中除冰工人右臂姿態的分析結果以及總的分析結果。通過分析,可以對分值較低的自由度進行優化,以達到較好的舒適性。

圖11 姿態分析結果
DELMIA也可以通過RULA標準對虛擬人肢體位置進行快速、直觀的分析,RULA即為快速的上肢評估方法(Rapid Upper Limb Assessment),RULA是針對作業姿勢評估與上肢傷害有關的工作危險因子,依據各部位的最大工作角度給予評分,再加上肌肉施力狀態和施力大小以作為最后評估行動水平的依據。它朋不同的顏色代表每個姿勢得分情況,圖12是兩個虛擬維修人員進行飛機蒙皮拆卸工作時該姿勢的RULA分析情況。

圖12 維修中的虛擬人姿勢RULA分析結果
(6)維修動作體力分析
主要是判斷維修操作中的舉起、推拉、提起及轉動等作業能否控制在人的體力限度以內。
圖5中,通過虛擬人右手作用在除冰槍上的負荷,利用CATIA或DELMIA軟件中生物力學分析功能對該負荷下的虛擬人進行分析評價,圖13給出了除冰工人綜合生物力學信息。從中可以看出虛擬人在該姿勢下身體所受壓力和關節所受力矩是否在體力限度以內。

圖13 體力分析結果
2 結論
維修性并行設計是在并行設計框架下集成與維修性相關的各種信息并進行優化利用的活動。DELMIA虛擬維修技術為工程人員提供了獨特的維修性并行分析手段,在虛擬維修環境中模擬維修任務,其應用可以降低生產、更新和維護金屬模型非常昂貴的費用,節約研制時間,發現設計缺陷。同時,圖像和動畫也可以集成到多媒體的培訓和技術手冊中,還可以根據虛擬維修保障任務確定必須的工具和保障裝備,生成保障裝備數據庫。總之,基于DELMIA的虛擬維修是一項有廣闊應用前景的研究領域。
核心關注:拓步ERP系統平臺是覆蓋了眾多的業務領域、行業應用,蘊涵了豐富的ERP管理思想,集成了ERP軟件業務管理理念,功能涉及供應鏈、成本、制造、CRM、HR等眾多業務領域的管理,全面涵蓋了企業關注ERP管理系統的核心領域,是眾多中小企業信息化建設首選的ERP管理軟件信賴品牌。
轉載請注明出處:拓步ERP資訊網http://www.shjqjggc.cn/
























